Secondaire 5 • 2a
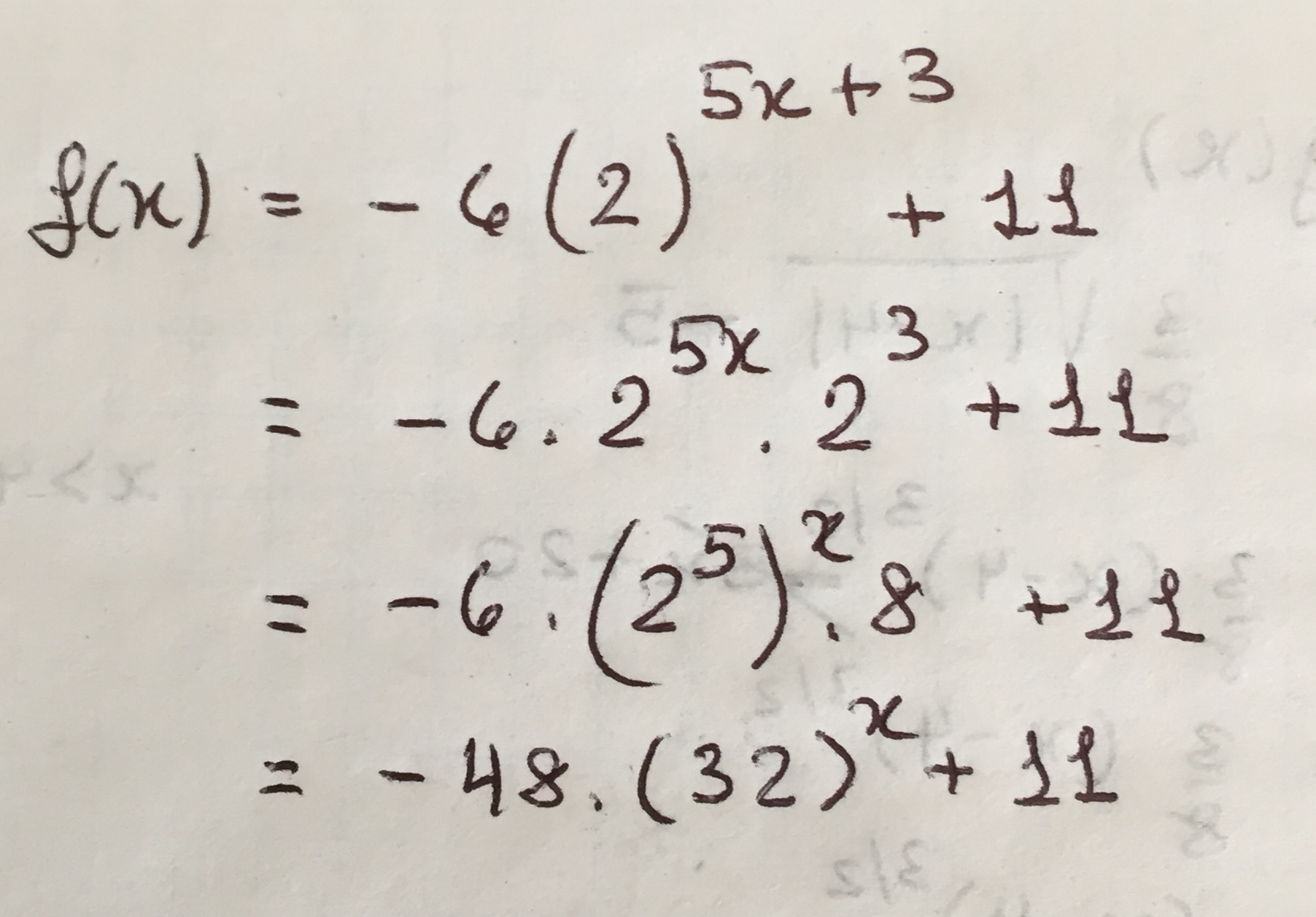
Bonjour, j'étudie les fonctions exponentielles et je ne sais pas comment réduire la fonction, c'est-à-dire d'enlever le b et le h (ce qui est surligner en jaune). J'aurai besoin d'aide svp.
merci !! :)

Explication vérifiée par Alloprof
Cette explication a été vérifiée par un membre de l’équipe d’Alloprof.
Il faut utiliser les lois sur les exposants
Ce contenu est protégé par le droit d'auteur. Toute reproduction à l'extérieur des forums Alloprof est interdite et pourra être considérée comme une violation du droit d'auteur.
https://www.alloprof.qc.ca/fr/eleves/bv/mathematiques/les-lois-des-exposants-m1044
Suggestions en lien avec la question
Suggestion en lien avec la question
Voici ce qui a été trouvé automatiquement sur le site, en espérant que ça t’aide!