Secondaire 3 • 1a
Bonjour, j'aimerais savoir comment trouver la hauteur d'un cylindre en ayant son rayon de 5 cm et l'aire totale de 1020 (pie)cm²
Bonjour, j'aimerais savoir comment trouver la hauteur d'un cylindre en ayant son rayon de 5 cm et l'aire totale de 1020 (pie)cm²
Explication d'Alloprof
Cette explication a été donnée par un membre de l'équipe d'Alloprof.
Salut!
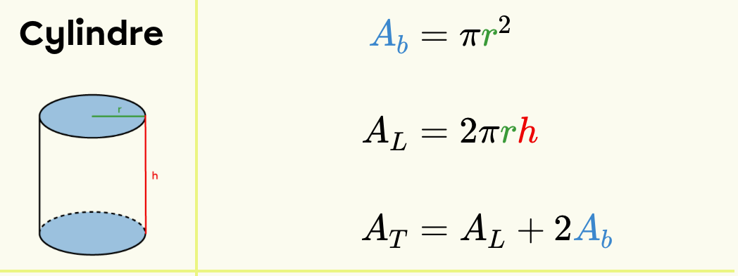
Tu dois utiliser la formule d’aire totale d’un cylindre :
Ce contenu est protégé par le droit d'auteur. Toute reproduction à l'extérieur des forums Alloprof est interdite et pourra être considérée comme une violation du droit d'auteur.
Nous avons donc l’équation :
$$A_{T}=2\pi r h + 2(\pi r^2) $$
Nous savons que le rayon est de 5 cm et que l'aire totale est de 1020π cm². Nous pouvons alors insérer ces données dans notre équation :
$$1020 \pi=2\pi \times 5 \times h + 2(\pi 5^2) $$
Il ne te reste plus qu’à résoudre l’équation pour trouver la valeur de la variable h, la hauteur du cylindre. Consulte cette fiche au besoin : Les méthodes générales de résolution d'équations | Secondaire | Alloprof
J’espère que c’est plus clair pour toi! :)
Suggestions en lien avec la question
Suggestion en lien avec la question
Voici ce qui a été trouvé automatiquement sur le site, en espérant que ça t’aide!