Comment calculer la distance de deux points dans un graphique?
{t c="richEditor.description.title"} {t c="richEditor.description.paragraphMenu"} {t c="richEditor.description.inlineMenu"} {t c="richEditor.description.embed"}
Explication d'Alloprof
Cette explication a été donnée par un membre de l'équipe d'Alloprof.
Salut!
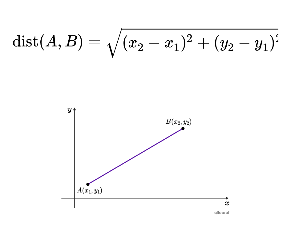
Tu dois insérer les coordonner de tes deux points dans cette formule :
Ce contenu est protégé par le droit d'auteur. Toute reproduction à l'extérieur des forums Alloprof est interdite et pourra être considérée comme une violation du droit d'auteur.
Je t’invite à consulter la fiche suivante : https://www.alloprof.qc.ca/fr/eleves/bv/mathematiques/math-la-distance-entre-deux-points-m1311
Et à nous réécrire si tu as d’autres questions! :)
Voici ce qui a été trouvé automatiquement sur le site, en espérant que ça t’aide!
Explication d'Alloprof
Cette explication a été donnée par un membre de l'équipe d'Alloprof.
Salut!
Tu dois insérer les coordonner de tes deux points dans cette formule :
Ce contenu est protégé par le droit d'auteur. Toute reproduction à l'extérieur des forums Alloprof est interdite et pourra être considérée comme une violation du droit d'auteur.
Je t’invite à consulter la fiche suivante : https://www.alloprof.qc.ca/fr/eleves/bv/mathematiques/math-la-distance-entre-deux-points-m1311
Et à nous réécrire si tu as d’autres questions! :)
Suggestions en lien avec la question
Suggestion en lien avec la question
Voici ce qui a été trouvé automatiquement sur le site, en espérant que ça t’aide!