Secondaire 5 • 1a
Salutations,
Pouvez-vous m'aider à simplifier cette équation svp? La réponse du corrigé est racine carrée de 3/6e mais je ne trouve pas ça.
Salutations,
Pouvez-vous m'aider à simplifier cette équation svp? La réponse du corrigé est racine carrée de 3/6e mais je ne trouve pas ça.
Explication d'Alloprof
Cette explication a été donnée par un membre de l'équipe d'Alloprof.
Salut :D
Oui, certainement.
Voici les étapes menant à la réponse.
Ce contenu est protégé par le droit d'auteur. Toute reproduction à l'extérieur des forums Alloprof est interdite et pourra être considérée comme une violation du droit d'auteur.
Ce contenu est protégé par le droit d'auteur. Toute reproduction à l'extérieur des forums Alloprof est interdite et pourra être considérée comme une violation du droit d'auteur.
Ce contenu est protégé par le droit d'auteur. Toute reproduction à l'extérieur des forums Alloprof est interdite et pourra être considérée comme une violation du droit d'auteur.
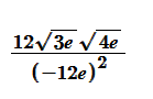
Pour passer à l'étape précédente, nous mettons 12 sous forme de multiples, soit 3*2*2, puis, nous simplifions la racine de 4 par 2, ce qui donne 3*2*2*2*racine de 3*e au numérateur. Puis, en dénominateur, 3*2*2*e*3*2*2*e, simplifié à 2^4 * 3^2 * e^2.
En éliminant les divisions de même nombre par même nombre, nous arrivons à :
Ce contenu est protégé par le droit d'auteur. Toute reproduction à l'extérieur des forums Alloprof est interdite et pourra être considérée comme une violation du droit d'auteur.
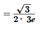
Qui peut être simplifié à :
Ce contenu est protégé par le droit d'auteur. Toute reproduction à l'extérieur des forums Alloprof est interdite et pourra être considérée comme une violation du droit d'auteur.
J'espère que ça t'aura aidé.e :) À bientôt :D
Suggestions en lien avec la question
Suggestion en lien avec la question
Voici ce qui a été trouvé automatiquement sur le site, en espérant que ça t’aide!