Vrai ou faux?
Ce contenu est protégé par le droit d'auteur. Toute reproduction à l'extérieur des forums Alloprof est interdite et pourra être considérée comme une violation du droit d'auteur.
J'ai tenté de résoudre l'équation, j'aimerais une validation svp :)
{t c="richEditor.description.title"} {t c="richEditor.description.paragraphMenu"} {t c="richEditor.description.inlineMenu"} {t c="richEditor.description.embed"}
Explication d'Alloprof
Cette explication a été donnée par un membre de l'équipe d'Alloprof.
Salut 😊
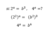
Pour valider, tu peux choisir une valeur pour les variables a et b, et vérifier si l'équation fonctionne.
Prenons a = 3 et b = 2.
On a donc :
8 = 8 (première équation)
4^3 = 2^6, ce qui donne 64 = 64 (deuxième équation)
Ça fonctionne alors avec cet exemple! Tu peux confirmer théoriquement avec les propriétés appliquées aux exposants.
N'hésite pas si tu as d'autres questions 😊 À bientôt 😎
Salut,
Je ne vois pas ton développement. :-) Voulais-tu joindre ta démarche?
Voici ce qui a été trouvé automatiquement sur le site, en espérant que ça t’aide!
Explication d'Alloprof
Cette explication a été donnée par un membre de l'équipe d'Alloprof.
Salut 😊
Pour valider, tu peux choisir une valeur pour les variables a et b, et vérifier si l'équation fonctionne.
Prenons a = 3 et b = 2.
On a donc :
8 = 8 (première équation)
4^3 = 2^6, ce qui donne 64 = 64 (deuxième équation)
Ça fonctionne alors avec cet exemple! Tu peux confirmer théoriquement avec les propriétés appliquées aux exposants.
N'hésite pas si tu as d'autres questions 😊 À bientôt 😎
Salut,
Je ne vois pas ton développement. :-) Voulais-tu joindre ta démarche?
Suggestions en lien avec la question
Suggestion en lien avec la question
Voici ce qui a été trouvé automatiquement sur le site, en espérant que ça t’aide!