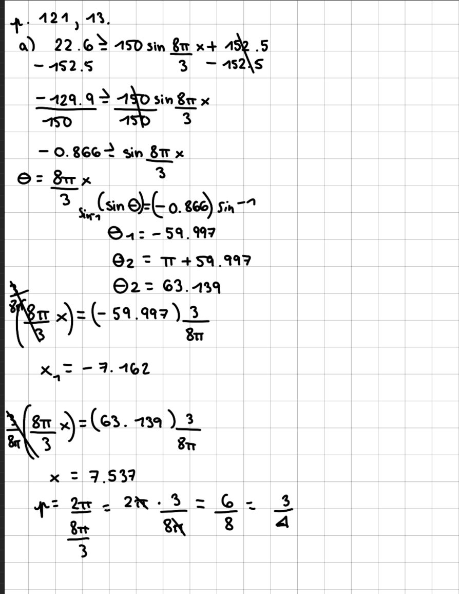
Bonjour! Est-ce que quelqu'un peut me dire où est mon erreur pour trouver les x de la fonction de ce numéro? Quand y = 22.6 cm. Je n'obtiens pas les mêmes quand je mets la fonction sur GéoGebra.
Ce contenu est protégé par le droit d'auteur. Toute reproduction à l'extérieur des forums Alloprof est interdite et pourra être considérée comme une violation du droit d'auteur.
Ce contenu est protégé par le droit d'auteur. Toute reproduction à l'extérieur des forums Alloprof est interdite et pourra être considérée comme une violation du droit d'auteur.
Explication d'Alloprof
Cette explication a été donnée par un membre de l'équipe d'Alloprof.
Salut!
Attention, au numéro a), ce n'est pas les zéros que tu veux trouver (cette fonction n'a pas de zéro de toute façon, puisqu'elle ne touche pas l'axe des x), mais plutôt le nombre de cycles de x=0 à x=300 sec (5 min).
En effet, dans chaque cycle, on saute 1 fois.
Ce contenu est protégé par le droit d'auteur. Toute reproduction à l'extérieur des forums Alloprof est interdite et pourra être considérée comme une violation du droit d'auteur.
La droite y=22,6 (en bleu) représente la hauteur en dessous de laquelle les pieds ne touchent pas le sol.
Ainsi, le nombre de cycles pour un certain intervalle équivaut au nombre de fois que l'on saute dans cet intervalle!
Pour trouver le nombre de cycles dans l'intervalle [0, 300], tu dois commencer par trouver la période de la fonction sinus. Tu peux te servir du paramètre b de la règle pour cela.
Ce contenu est protégé par le droit d'auteur. Toute reproduction à l'extérieur des forums Alloprof est interdite et pourra être considérée comme une violation du droit d'auteur.
Ce contenu est protégé par le droit d'auteur. Toute reproduction à l'extérieur des forums Alloprof est interdite et pourra être considérée comme une violation du droit d'auteur.
La période sera la durée en seconde d'un cycle. Il ne te restera plus qu'à diviser 300 secondes par cette période pour trouver le nombre de cycles de x=0 à x=300.
Pour le numéro b), tu dois trouver la durée d'un saut et multiplier cette durée par le nombre de sauts trouvé précédemment pour obtenir la durée totale où ses pieds ne touchent pas le sol.
Pour cela, tu dois trouver le moment x où la hauteur est de 22,6 cm en calculant les coordonnées en x des points à y=22,6 d'un cycle. Finalement, tu dois soustraire ces abscisses pour trouver la durée d'un saut.
Ainsi, déplace tes étapes du numéro a) vers le b), et n'oublie pas d'être en radians! Lorsqu'on travaille avec une fonction trigonométrique (sin, cos ou tan), on doit toujours être en radians.
Je te laisse essayer avec ces indices. Si tu as d'autres questions, n'hésite pas à nous réécrire! :)
C'est une question d'unité. Les angles dans ton problème sont en radians. Le arcsin sur ta calculatrice (ou autre outil) te donne le résultat en degrés
Ce contenu est protégé par le droit d'auteur. Toute reproduction à l'extérieur des forums Alloprof est interdite et pourra être considérée comme une violation du droit d'auteur.
Suggestions en lien avec la question
Suggestion en lien avec la question
Voici ce qui a été trouvé automatiquement sur le site, en espérant que ça t’aide!