Skip to content

Zone d’entraide

Question de l’élève

Secondaire 5 • 1a

Bonjour, je ne comprends pas comment faire le b). Pouvez-vous m'aider s'il vous plait ?

image.png


Mathématiques
avatar
avatar

{t c="richEditor.description.title"} {t c="richEditor.description.paragraphMenu"} {t c="richEditor.description.inlineMenu"} {t c="richEditor.description.embed"}

Explications (1)

  • Explication d'Alloprof

    Explication d'Alloprof

    Cette explication a été donnée par un membre de l'équipe d'Alloprof.

    Options
    Équipe Alloprof • 1a

    Allo MonarqueComique4652,

    Merci pour ta question!

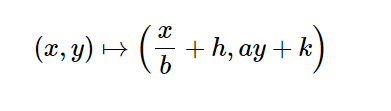
    Tu dois appliquer les paramètres sur chaque couple.

    Commence par sortir tes paramètres A,B,H,K.

    Ensuite, utilise ces formules:

    image.png

    https://www.alloprof.qc.ca/fr/eleves/bv/mathematiques/le-role-des-parametres-a-b-h-et-k-d-une-foncti-m1450

    J'espère t'avoir aidé!

    Lea-Kim

Poser une question