Secondaire 2 • 4a
Alllo!
J'ai de la misère avec les taux de proportions. Je suis meme pas certain de bien comprendre la base!
Alllo!
J'ai de la misère avec les taux de proportions. Je suis meme pas certain de bien comprendre la base!
Explication d'Alloprof
Cette explication a été donnée par un membre de l'équipe d'Alloprof.
Bonjour !
La notion de proportionnalité consiste à égaliser des rapports ou des taux pour pouvoir les comparer ensemble.
On note une proportion a : b :: c : d ou de cette manière suivante:
Ce contenu est protégé par le droit d'auteur. Toute reproduction à l'extérieur des forums Alloprof est interdite et pourra être considérée comme une violation du droit d'auteur.
Les éléments a et d sont appelés les extrêmes (ou termes extrêmes) alors que les éléments b et c sont appelés les moyens (ou termes moyens).
Généralement, on utilise le produit croisé. On multiplie les extrêmes ensembles et ensuite les moyens ensemble. On écrit ad=bc.
On peut vérifier si des taux sont équivalents en divisant leur numérateur avec leur dénominateur.Le nombre ou le chiffre résultant de cette opération se nomme le coefficient de proportionnalité.
Comme cela:
Ce contenu est protégé par le droit d'auteur. Toute reproduction à l'extérieur des forums Alloprof est interdite et pourra être considérée comme une violation du droit d'auteur.
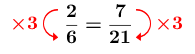
Pour résoudre une proportion, on multiplie le numérateur et le dénominateur d'un taux par le facteur de changement pour obtenir les termes de l'autre taux.
Example:
Ce contenu est protégé par le droit d'auteur. Toute reproduction à l'extérieur des forums Alloprof est interdite et pourra être considérée comme une violation du droit d'auteur.
Dans cette situation, 6 est le facteur de changement
Voici un lien qui pourrait te venir en aide:
J'espère avoir pu t'aider! Si tu as encore de la difficulté, n'hésite pas à réécrire!🤩
Laura
Suggestions en lien avec la question
Suggestion en lien avec la question
Voici ce qui a été trouvé automatiquement sur le site, en espérant que ça t’aide!