Ce contenu est protégé par le droit d'auteur. Toute reproduction à l'extérieur des forums Alloprof est interdite et pourra être considérée comme une violation du droit d'auteur.
L'équation d'une droite peut prendre plusieurs formes :
Ce contenu est protégé par le droit d'auteur. Toute reproduction à l'extérieur des forums Alloprof est interdite et pourra être considérée comme une violation du droit d'auteur.
Généralement, on utilise la forme canonique, où m est la pente et b est l'origine.
Pour trouver les équations, tu dois remplacer les variables par ce que tu connais.
---------------------------------------------------------------Dans ton premier cas, tu as les points et l'ordonnée à l'origine.
y = mx + b
Tu dois alors prendre tes coordonnées (x, y) et remplacer le x et le y dans la formule. Tu peux aussi remplacer le b par ton -4.
Il te suffira alors de faire de l'algèbre pour trouver le m. :)
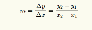
Dans ton deuxième cas, tu as deux coordonnées. Tu dois alors en premier lieu trouver la pente à l'aide de la formule suivante :
Ce contenu est protégé par le droit d'auteur. Toute reproduction à l'extérieur des forums Alloprof est interdite et pourra être considérée comme une violation du droit d'auteur.
Par la suite, tu peux remplacer les paramètres que tu connais dans la formule de tantôt (y = mx+b). Tu devras ensuite isoler b :).
Voici notre fiche qui t'explique comment trouver l'équation d'une droite à partir de ses coordonnées:
Explication d'Alloprof
Cette explication a été donnée par un membre de l'équipe d'Alloprof.
Bonsoir ! :)
L'équation d'une droite peut prendre plusieurs formes :
Ce contenu est protégé par le droit d'auteur. Toute reproduction à l'extérieur des forums Alloprof est interdite et pourra être considérée comme une violation du droit d'auteur.
Généralement, on utilise la forme canonique, où m est la pente et b est l'origine.
Pour trouver les équations, tu dois remplacer les variables par ce que tu connais.
---------------------------------------------------------------Dans ton premier cas, tu as les points et l'ordonnée à l'origine.
y = mx + b
Tu dois alors prendre tes coordonnées (x, y) et remplacer le x et le y dans la formule. Tu peux aussi remplacer le b par ton -4.
Il te suffira alors de faire de l'algèbre pour trouver le m. :)
----------------------------------------------------------
Dans ton deuxième cas, tu as deux coordonnées. Tu dois alors en premier lieu trouver la pente à l'aide de la formule suivante :
Ce contenu est protégé par le droit d'auteur. Toute reproduction à l'extérieur des forums Alloprof est interdite et pourra être considérée comme une violation du droit d'auteur.
Par la suite, tu peux remplacer les paramètres que tu connais dans la formule de tantôt (y = mx+b). Tu devras ensuite isoler b :).
Voici notre fiche qui t'explique comment trouver l'équation d'une droite à partir de ses coordonnées:
N'hésite pas si tu as d'autres questions ! :)
Sarah G
Suggestions en lien avec la question
Suggestion en lien avec la question
Voici ce qui a été trouvé automatiquement sur le site, en espérant que ça t’aide!