Ce contenu est protégé par le droit d'auteur. Toute reproduction à l'extérieur des forums Alloprof est interdite et pourra être considérée comme une violation du droit d'auteur.
Bonjour je ne comprend pas bien cette exercice pourriez-vous vous m’aider svp.
Bonjour, merci beaucoup pour ta question ! 😁 Voici comment l'on doit s'y prendre pour simplifier l'expression suivante :
Ce contenu est protégé par le droit d'auteur. Toute reproduction à l'extérieur des forums Alloprof est interdite et pourra être considérée comme une violation du droit d'auteur.
Concernant le terme de gauche, nous allons appliquer l'exposant 4 au numérateur ainsi qu'au dénominateur, puis nous allons transformer l'exposant négatif de manière à obtenir ceci :
Ce contenu est protégé par le droit d'auteur. Toute reproduction à l'extérieur des forums Alloprof est interdite et pourra être considérée comme une violation du droit d'auteur.
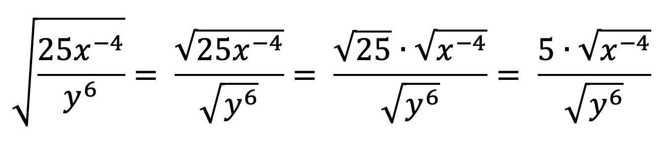
En ce qui concerne le terme de droite, nous allons utiliser les propriétés des racines. Garde en tête que :
Ce contenu est protégé par le droit d'auteur. Toute reproduction à l'extérieur des forums Alloprof est interdite et pourra être considérée comme une violation du droit d'auteur.
Comme je te le disais plus haut, une racine est également un exposant fractionnaire (c'est-à-dire un exposant sous forme de fraction) selon la relation suivante :
Ce contenu est protégé par le droit d'auteur. Toute reproduction à l'extérieur des forums Alloprof est interdite et pourra être considérée comme une violation du droit d'auteur.
Ainsi, comme on a ici des racines carrées, on obtient que :
Ce contenu est protégé par le droit d'auteur. Toute reproduction à l'extérieur des forums Alloprof est interdite et pourra être considérée comme une violation du droit d'auteur.
Tu remarqueras que j'ai transformé l'exposant négatif ici aussi. L'expression que tu as à simplifier au final devient ainsi la suivante :
Ce contenu est protégé par le droit d'auteur. Toute reproduction à l'extérieur des forums Alloprof est interdite et pourra être considérée comme une violation du droit d'auteur.
J'espère que cela t'aura aidé à mieux comprendre le numéro ! ☺️
1
Explication d'Alloprof
Explication d'Alloprof
Cette explication a été donnée par un membre de l'équipe d'Alloprof.
Ici, tu dois utiliser les lois des exposants. Je te conseille de commencer par tout mettre sur une base de 5. Ensuite, fait une fraction à la fois pour simplifier le tout.
N'oublie pas de donner ta réponse avec un exposant positif.
Bonjour, merci beaucoup pour ta question ! 😁 Voici comment l'on doit s'y prendre pour simplifier l'expression suivante :
Ce contenu est protégé par le droit d'auteur. Toute reproduction à l'extérieur des forums Alloprof est interdite et pourra être considérée comme une violation du droit d'auteur.
Garde en tête que nous devons nous référer aux propriétés des exposants et des racines (qui sont en réalité des exposants fractionnaires). Je t'encourage au besoin à réviser la fiche suivante : https://www.alloprof.qc.ca/fr/eleves/bv/mathematiques/les-lois-des-exposants-m1044
Concernant le terme de gauche, nous allons appliquer l'exposant 4 au numérateur ainsi qu'au dénominateur, puis nous allons transformer l'exposant négatif de manière à obtenir ceci :
Ce contenu est protégé par le droit d'auteur. Toute reproduction à l'extérieur des forums Alloprof est interdite et pourra être considérée comme une violation du droit d'auteur.
En ce qui concerne le terme de droite, nous allons utiliser les propriétés des racines. Garde en tête que :
Ce contenu est protégé par le droit d'auteur. Toute reproduction à l'extérieur des forums Alloprof est interdite et pourra être considérée comme une violation du droit d'auteur.
Comme je te le disais plus haut, une racine est également un exposant fractionnaire (c'est-à-dire un exposant sous forme de fraction) selon la relation suivante :
Ce contenu est protégé par le droit d'auteur. Toute reproduction à l'extérieur des forums Alloprof est interdite et pourra être considérée comme une violation du droit d'auteur.
Ainsi, comme on a ici des racines carrées, on obtient que :
Ce contenu est protégé par le droit d'auteur. Toute reproduction à l'extérieur des forums Alloprof est interdite et pourra être considérée comme une violation du droit d'auteur.
Tu remarqueras que j'ai transformé l'exposant négatif ici aussi. L'expression que tu as à simplifier au final devient ainsi la suivante :
Ce contenu est protégé par le droit d'auteur. Toute reproduction à l'extérieur des forums Alloprof est interdite et pourra être considérée comme une violation du droit d'auteur.
J'espère que cela t'aura aidé à mieux comprendre le numéro ! ☺️
Explication d'Alloprof
Cette explication a été donnée par un membre de l'équipe d'Alloprof.
Allo LionDiplomate8382,
Merci pour ta question!
Ici, tu dois utiliser les lois des exposants. Je te conseille de commencer par tout mettre sur une base de 5. Ensuite, fait une fraction à la fois pour simplifier le tout.
N'oublie pas de donner ta réponse avec un exposant positif.
Je te laisse cette fiche au besoin: http://alloprof.qc.ca/fr/eleves/bv/mathematiques/les-lois-des-exposants-m1044
J'espère t'avoir aidé!
Lea-Kim
Suggestions en lien avec la question
Suggestion en lien avec la question
Voici ce qui a été trouvé automatiquement sur le site, en espérant que ça t’aide!