Postsecondaire • 3a
Pour aider à corriger un problème de surpopulation, le gouvernement d’un pays exotique décide d’imposer le décret suivent : Une famille doit arrêter d’avoir des enfants, dès qu’elle a un garçon. Après un certain temps, il y a des familles avec un garçon seulement, d’autres avec un garçon et une fille, d’autres encore avec deux filles et un garçon, etc., sans compter celles qui n’ont que des filles, mais ont arrêté d’en avoir. Dans cette génération, y aurait-il globalement plus de garçons que de filles, ou vice versa?
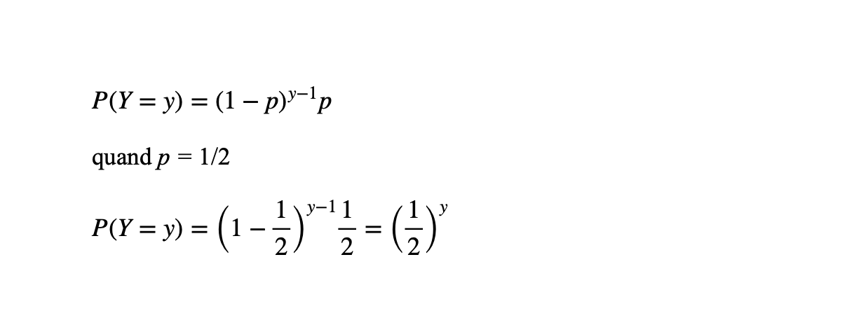
En théorie la probabilité, p, d'avoir un garçon devrait être 1/2.
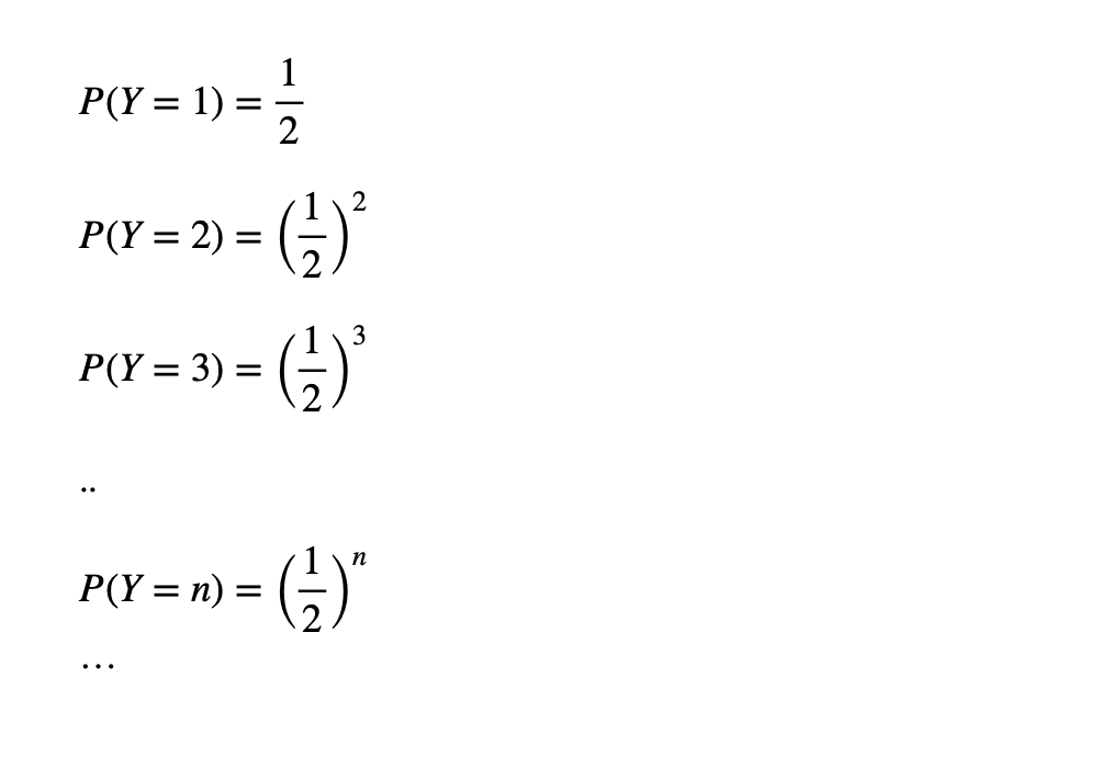
Pour chaque famille l'expérience consiste en une série d'essais (donnant deux résultats possibles: naissance d'une fille ou d'un garçon) qui se conclue lorsque le premier garçon naît.
L'expérience d'une famille peut se terminer après un essai si un garçon naît tout de suite, ou ça peut arriver après un nombre indéfini de naissances (en pratique les parents choisiraient sans doute d'abandonner après plusieurs essais...)
Si Y est la variable aléatoire représentant le nombre d'essais
Ce contenu est protégé par le droit d'auteur. Toute reproduction à l'extérieur des forums Alloprof est interdite et pourra être considérée comme une violation du droit d'auteur.
et y = le nombre d'essais = 1, 2, 3, ...
Il s'agit en statistiques de la distribution géométrique.
Ce contenu est protégé par le droit d'auteur. Toute reproduction à l'extérieur des forums Alloprof est interdite et pourra être considérée comme une violation du droit d'auteur.
La moyenne de cette distribution est 1/p qui, pour p = 1/2, est donc de 2.
La moyenne, le nombre moyen d'essais ou naissances chez les familles suivant ces règles serait donc de deux essais/naissances: une fille puis un garçon.
Par contre, en pratique, l'abandon des familles après quelques essais pourrait cependant favoriser la population de filles pour cette génération.
bonjour,
D un point de vue mathématique, on sait que le nombre de garçons par famille sera 1.
Alors, je calculerais l espérance mathématique du nombre de filles par famille et comparerais les deux valeurs.
Ce contenu est protégé par le droit d'auteur. Toute reproduction à l'extérieur des forums Alloprof est interdite et pourra être considérée comme une violation du droit d'auteur.
Explication d'Alloprof
Cette explication a été donnée par un membre de l'équipe d'Alloprof.
Bonsoir !
Le montant exact de garçons ou filles ne peut etre connu.
Mais, si on nous dit qu'il y a un problème de surpopulation et qu'il n'y aura plus d'enfants après la naissance d'un garçon, on comprend alors que le problème était qu'il y avait pas assez de garçons.
Donc, avant l'imposition de la règle, il y avait plus de filles que de garçons.
Les chances qu'un garçon soit né à chaque essaie est minime.
Donc, après l'imposition de la règle, il y a quand meme de grandes chances qu'il y ait plus de filles.
Pourrons-nous, selon toi, transformer la situation en probabilités représentant chaque parent et leur essais (enfants) ?
Il est impossible de prédire avec certitude combien il y aurait de garçons et de filles dans cette génération, car cela dépendrait de nombreux facteurs, tels que la proportion de garçons et de filles nés naturellement dans le pays, le taux de fécondité de chaque famille, et le nombre de filles et de garçons que chaque famille a déjà eu avant d'arrêter d'avoir des enfants.
Cependant, en supposant que la proportion de garçons et de filles nés naturellement est égale et que toutes les familles ont la même probabilité de mettre au monde des garçons et des filles, il est possible de prévoir que la proportion de garçons et de filles serait globalement la même, car chaque famille ayant eu un garçon arrêterait d'avoir des enfants.
Il convient toutefois de noter que cette prévision repose sur de nombreuses hypothèses et pourrait ne pas refléter la réalité.
Suggestions en lien avec la question
Suggestion en lien avec la question
Voici ce qui a été trouvé automatiquement sur le site, en espérant que ça t’aide!