Primaire 6 • 3a
J'ai besoin d'aide en math : multiplication d'un nombre naturel par une fraction. Merci!
J'ai besoin d'aide en math : multiplication d'un nombre naturel par une fraction. Merci!
Bonsoir,
Comme RenardLibre l'a dit tu dois multiplie ton numérateur ( la fraction en haut ) par le nombre naturel.
Puis si cela est demandé, tu peux simplifier ta fraction.
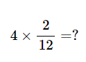
Exemple d'Alloprof:
Ce contenu est protégé par le droit d'auteur. Toute reproduction à l'extérieur des forums Alloprof est interdite et pourra être considérée comme une violation du droit d'auteur.
Ce contenu est protégé par le droit d'auteur. Toute reproduction à l'extérieur des forums Alloprof est interdite et pourra être considérée comme une violation du droit d'auteur.
Bonne soirée!
Explication vérifiée par Alloprof
Cette explication a été vérifiée par un membre de l’équipe d’Alloprof.
Salut DiamantTurquoise8110,
J'espère que tu vas bien. Voici un lien qui va surement t'aider à propos des multiplications de fractions ainsi qu'une vidéo à ce sujet:
Bonne étude!
ChevalSociable6277
Tu doit multiplier ton numérateur par le nombre naturel
Suggestions en lien avec la question
Suggestion en lien avec la question
Voici ce qui a été trouvé automatiquement sur le site, en espérant que ça t’aide!