Secondaire 5 • 2a
Bonjour,
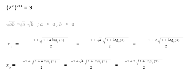
Je cherche à résoudre cette équation
(2 )^(x)^(x+1) = 3
Elle me donne pas mal de fil à retordre. Voici ce que j'ai développé jusqu'à maintenant:
Je crois que j'ai trouvé! Merci pour les lectures suggérées.
Voici ce que j'ai fait.


Explication d'Alloprof
Cette explication a été donnée par un membre de l'équipe d'Alloprof.
Bonjour GeckoSupra1775.
Bienvenue dans la Zone!
Ton erreur est au niveau du √4 que tu as mis en évidence devant la seconde racine. Pour faire ça, il aurait fallu faire une mise en évidence d'un 4 touchant les deux termes du radicande (expression numérique sous le trait horizontal d’un radical). Tu ne peux donc pas mettre en évidence un √4.
Ce contenu est protégé par le droit d'auteur. Toute reproduction à l'extérieur des forums Alloprof est interdite et pourra être considérée comme une violation du droit d'auteur.
Sinon, tu y es presque. Il te reste à remplacer ton log en base 2 par des log en base 10.
Ce contenu est protégé par le droit d'auteur. Toute reproduction à l'extérieur des forums Alloprof est interdite et pourra être considérée comme une violation du droit d'auteur.
Ta calculatrice va faire le reste.
J’espère que ces quelques explications sauront t’aider à résoudre le problème.
Merci d’être passé nous voir dans la Zone et bonne soirée!
Suggestions en lien avec la question
Suggestion en lien avec la question
Voici ce qui a été trouvé automatiquement sur le site, en espérant que ça t’aide!