Skip to content

Zone d’entraide

Question de l’élève

Postsecondaire • 2a
371178800_784748810096082_7444863715899572795_n.jpg


Voici ma question: J'arrive à une réponse qui me donne r=P/(Pi + 4). Je dois utiliser le test de la dérivée première ou seconde pour justifier que c'est un maximum ou un minimum. Ma fonction dérivé est la suivante : A'(r) = P- 4r - Pi(r). Je ne réussis pas a passer cette étape. Puis-je avoir de l'aide?


Merci!

Mathématiques
avatar
avatar

{t c="richEditor.description.title"} {t c="richEditor.description.paragraphMenu"} {t c="richEditor.description.inlineMenu"} {t c="richEditor.description.embed"}

Explications (2)

  • Options
    2a


    AvocatTenace6777

    avait raison, je corrige ma réponse

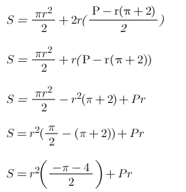
    calcul de la surface et du périmètre

    image.png

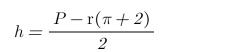
    on écrit la hauteur en fonction du rayon et le périmètre donné comme constante

    image.png

    on remplace la valeur de h dans l'expression de la surface

    image.png

    la surface est une fonction du second degré de r

    image.png

    intersection avec les axes r'r

    image.png

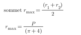
    calcul de l'abscisse du sommet

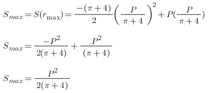
    image.png

    il lui correspond une valeur maximale de la surface

    image.png

    Merci AvocatTenace6777

  • Explication vérifiée par Alloprof

    Explication vérifiée par Alloprof

    Cette explication a été vérifiée par un membre de l’équipe d’Alloprof.

    Options
    2a

    Si A'(r) = P- 4r - Pi(r)

    alors A''(r) = -4 - pi


    Test de la dérivée seconde:

    -4-pi < 0 (pour tout r) donc l extrémum est un maximum.

Poser une question