Best Of
Re: Question
Re salut!
Oui, tu peux nous envoyer une photo de ton exercice, il sera ainsi plus facile pour nous de te donner une explication spécifique à ta situation.
J'attends de tes nouvelles! :)
Re: Question
Je te suggère d'aller voir cette page pour des explications sur les projections orthogonales.
https://www.alloprof.qc.ca/fr/eleves/bv/mathematiques/la-projection-orthogonale-d-un-vecteur-m1474
Re: Question
Salut!
Nous nous excusons pour le délai, nous faisons de notre mieux pour répondre à toutes les questions le plus rapidement possible! :)
Consulte l'explication donnée à ton autre publication : Comment faire une division à deux chiffres avec des retenue — Alloprof
Et reviens nous voir si tu as d'autres questions! :)
Re: Question
Salut!
Merci pour ta question! :)
On te demande de trouver l'aire du prisme dans cet exercice. Pour cela, tu auras donc besoin de connaître la formule d'aire d'un prisme :
Le prisme à base rectangulaire a les mesures suivantes :
hauteur = h = (5x-2)
longueur de la base = L = (3x-1)
largeur de la base = l = (2x)
En appliquant la formule d'aire, on obtient ceci :
$$A_{t}=A_{l}+2A_{b} $$
$$A_{t}=P_{b}\times h+2(L\times l) $$
$$A_{t}=(2L + 2l)\times h+2(L\times l) $$
$$A_{t}=(2(2x)+2(3x-1))(5x-2) + 2((2x)(3x-1))$$
Il ne te reste plus qu'à simplifier cette expression pour obtenir l'expression algébrique réduite représentant l'aire de ce prisme.
Je te laisse faire les calculs. J'espère que c'est plus clair pour toi! :)
Re: Question
Allo RubisDynamique2204,
Merci pour ta question!
Selon moi, la meilleure façon de ne pas stresser et d'être prêt pour son examen est de bien réviser. Ça te permettra de te sentir plus en confiance et donc de moins stresser. Aussi, prend le temps de prendre des grandes respirations pour relaxer pendant ton examen.
Pour ce qui est de la révision, notre site contient plusieurs exercices et vidéos pour t'aider. Nous avons aussi des mini-récups, qui permettent de faire une super belle révision avant un examen.
Avec tous ces outils, je suis certaine que tu seras capable de réussir!
J'espère t'avoir aidé!
Lea-Kim
Re: Question
Salut!
On te dit que la mesure du côté du carré est de \(2r\).
Tu dois donc remplacer \(c\) par (2r\) dans la formule d'aire d'un carré :
$$ A = (2r)^2$$
N'oublie pas que l'exposant 2 s'affecte à chaque facteur dans la parenthèse :
$$ A = 2^2r^2$$
$$ A = 4r^2$$
Pour le cercle, on sait que son diamètre est de (2r) cm. Son rayon est donc de : (2r)/2 , ce qui équivaut à \(r\) cm. La formule d'aire du cercle est donc :
$$ A=\pi r^2$$
Tu ne dois pas enlever la constante pi.
Finalement, tu dois soustraire les deux aires :
Aire du carré - Aire du cercle
$$4r^2- \pi r^2$$
Voilà! :D
J'espère que c'est plus clair pour toi. Si tu as d'autres questions, n'hésite pas! :)
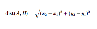
Re: Question
Salut!
Il n'y a pas de ligne à dessiner. Tu dois trouver la distance entre le point (0, 750) (la maison de Mali) et le point de la bibliothèque.
Si tu relies ces deux points, bien que ce ne soit pas nécessaire, tu auras cette droite :
Pour trouver la distance entre les deux points, tu dois utiliser la formule de la distance entre deux points :
Consulte ceci au besoin : La distance entre 2 points | Alloprof
La bibliothèque est l'abscisse à l'origine de la droite de la rue Poincaré. Donc, pour trouver ses coordonnées, tu dois calculer la valeur de x lorsque y=0 pour l'équation y=-1/4 x + 1015,63.
J'espère que c'est plus clair pour toi! :)
Re: Question
Salut!
Oui, le service Demander à un prof est fermé aujourd'hui pour l'Action de grâce, mais la Zone d'entraide reste ouverte :)
Si tu as des questions, n'hésite pas à nous écrire, ça nous fera plaisir de t'aider! :)
Re: Question
Salut!
Tu peux calculer la valeur numérique de la base et de la hauteur du triangle. Puis, tu peux utiliser le théorème de Pythagore pour trouver la mesure de l'hypoténuse de ce triangle rectangle :
Consulte cette fiche au besoin : Le théorème de Pythagore | Secondaire | Alloprof
J'espère que cela t'aide! :)






