Best Of
Re: Question
Salut!
Voici justement un répertoire de révision présentant toutes les notions étudiées en secondaire 2 en mathématique :D
Répertoires de révision – Secondaire 2 | Secondaire | Alloprof
Tu peux également consulter cette liste de lecture, elle comprend de nombreuses vidéos sur diverses notions de maths de secondaire 2 : https://www.youtube.com/watch?v=iiLmMYpPQds&list=PL1mP_vkqPB7EQZ7HAuvPjqgoEuCiyRm1F&pp=iAQB
Bonne étude! :)
Re: Question
Salut!
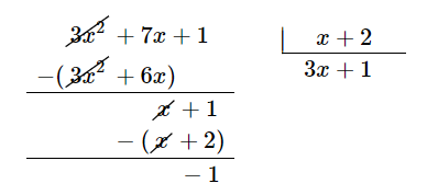
Tu dois arrêter la division lorsque tu n'es plus capable de diviser le dividende. En d'autres mots, tu peux continuer la division jusqu'à ce que le degré du dividende (le polynôme à diviser) soit plus petit que celui du diviseur (le binôme par lequel on divise).
Par exemple, ici :
Notre dividende, le nombre 1, a un degré de 0, donc un degré plus petit que x+2, qui a un degré de 1. De plus, on ne peut pas diviser -1 par (x+2). On doit donc arrêter la division, et ceci sera notre reste.
Puis, tu peux écrire la réponse de deux façons :
Voici une fiche sur cette notion qui pourrait t'être utile : La division d'une expression algébrique par un binôme | Secondaire | Alloprof
Si tu as d'autres questions, n'hésite pas à nous réécrire! :)
Re: Question
Salut !
Merci de faire appel au service d'Alloprof ! La somme des angles internes d'un polygone suit une certaine tendance.
De là, il a été possible de déterminer une fonction qui permet de trouver la somme des angles internes d'un polygone.
$$ \begin{align}\text{Somme}\ \angle \ \text{int.} &=(n-2) \times 180\\\\ \text{Somme}\ \angle \ \text{int.} &=180n-360\end{align} $$
J'espère que cela ait pu t'aider et si tu as d'autres questions, n'hésite pas !
Bonne soirée !
Re: Question
Bonjour DiamantRose,
Merci de faire appel à nos services! :)
En effet, les monstres cessent de grandir une fois qu'ils ont atteint leur dernière évolution (dans l'image ci-dessous, la dernière évolution est cachée).
Tu peux tout de même continuer à lire les super livres disponibles sur Grimoire! :)
Sinon, peut-être pourrais-tu essayer un de nos autres jeux? :)
N'hésite pas à nous réécrire si tu as d'autres questions! :)
Marilee
Re: Question
Salut!
Un bâtiment, c'est une construction conçue pour abriter des humains. Les maisons, les gratte-ciels, les écoles, les hôpitaux, les usines et les entrepôts sont des exemples de bâtiments.
Voici la définition d'Antidote :
Si tu as d'autres questions, n'hésite pas à nous réécrire! :)
Re: Question
Merci pour ta question!
Essentiellement, le cortex cérébral contient les structures requises pour nous permettre de réfléchir. La matière blanche est aussi importante pour la réflexion, par contre, sa fonction principale est de relier les différentes structures neuronales dans le cortex cérébral.
Cette fiche du site d'Alloprof explique le système nerveux central :
N'hésite pas si tu as d'autres questions!
Re: Question
Bonjour OliveInsolite2041,
Merci d'avoir utilisé la zone d'entraide afin d'avoir une réponse à ta question.
Alors la matière est situé dans le cerveau.
J’espère avoir répondu à ta question
Ne te gêne pas de poser d'autres questions!
Continue comme ça!
Re: Question
Bonjour CygneEmpathique,
Merci de faire appel à nos services! :)
Malheureusement, nous n'avons pas d'exercice sur le dessin technique. Toutefois, nous avons la fiche suivante si jamais tu souhaites revoir certaines notions :
N'hésite pas à nous réécrire si tu as d'autres questions! :)
Marilee



