Best Of
Re: Question
Bonjour CibouletteBionique995,
Merci pour ta question!
Pour savoir comment accorder, il faut se questionner sur ce que complète ce complément du nom.
On note toujours à la portion supérieure droite du ventre, accolée à celui-ci, une brûlure légèrement beige.
Alors ici, quel nom vient compléter le participe accolée? Il s'agirait de la brûlure qui est accolée.
Un petit truc pourrait être de replacer ta phrase transformée en phrase de base.
On note toujours à la portion supérieure droite du ventre une brûlure légèrement beige, accolée à celui-ci.
En souhaitant que ces quelques explications te seront utiles. N'hésite pas à nous recontacter si nous pouvons t'aider davantage, nous le ferons avec plaisir!
Re: Question
Salut!
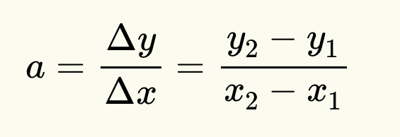
En maintenant ta souris enfoncée et en la glissant sur la droite, tu pourras voir les coordonnés des différents points composant cette droite. Choisis-en 2, puis utilise-les pour calculer la pente de la droite à l’aide de la formule suivante :
Puis, tu pourras trouver l’ordonnée à l’origine de la droite en remplaçant les variables x et y dans l’équation y=ax+b et en la résolvant.
Voici une fiche sur cette notion qui pourrait t’être utile :
Trouver la règle d'une fonction affine | Secondaire | Alloprof
Si tu as d’autres questions, n’hésite pas à nous réécrire! :)
Question
Bonjour!
Je me demandais pourquoi la vitesse d'un objet qui descend à la verticale augmente lorsque la masse de celui-ci augmente également?
Merci!
Re: Question
Salut 😁
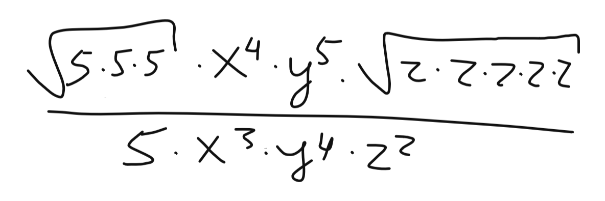
Commençons du début.
On peut d'abord utiliser cette propriété des racines.
Ce qui donne :
On simplifie par :
On peut écrire en suites de multiplications pour s'aider.
Et, grâce à la propriété vue plus tôt toujours, on fait :
On passe par :
Finalement, on a :
La réponse finale est :
N'hésite pas si tu as d'autres questions 🥴 À bientôt 😎
Re: Question
Salut à toi!
Merci pour ta question :)
Les droites remarquables sont la bissectrice, la médiane, la hauteur et la médiatrice.
La médiane part d'un sommet et va jusqu'au milieu du segment opposé.
Une médiatrice est une droite perpendiculaire à un segment (90°) qui passe par le milieu de ce même segment.
La bissectrice est une droite ou une demi-droite qui partage un angle en deux angles égaux.
Une hauteur est un segment qui relie un sommet à son côté opposé, ou son prolongement, et qui est perpendiculaire à ce côté opposé.
Pour en apprendre plus sur les droites remarquables, c'est par ici!
J'espère que ça répond à ta question!
Bonne soirée :)
Ariane
Re: Question
Salut à toi!
Merci pour ta question :)
La division à crochet, c'est une méthode pour diviser! Je t'invite à écouter nos vidéos pour t'aider à mieux comprendre la démarche; c'est plus facile de le voir que de le lire! ;)
Voici les vidéos pour les diviseurs à un chiffre:
J'espère que ça répond à ta question!
Bonne soirée :)
Ariane
Re: Question
Salut 😁
VC = veine cave
VP = veine pulmonaire
G et D doivent être gauche et droite
Tu peux utiliser cette image pour déduire le nom des structures au besoin.
N'hésite pas si tu as d'autres questions 😊 À bientôt 😎
Re: Question
Bonjour PlatineGamma,
Merci de faire appel à nos services! :)
Voici un test que tu peux faire afin de déterminer ton style d'apprentissage principal:
N'hésite pas à nous réécrire si tu as d'autres questions! :)
Marilee
Re: Question
Bonjour,TerreHumble1119
Merci de poser des questions sur la zone d'entraide
je ne sais pas comment vraiment te l'expliquer donc voici des fiches t'expliquant comment faire la division à crochet.
N'hésites pas à poser plus de questions
Beau travail
AlligatorAgile9312
Re: Question
Bonjour BleuetBeta,
Merci pour ce beau message! Je suis heureuse d'apprendre que notre Zone d'entraide te soit bénéfique! Ton retour positif nous encourage à nous développer davantage et à poursuivre nos efforts pour améliorer nos services, spécialement conçus pour vous, les élèves ! :)
Je ferai part de ces beaux mots à mes collègues qui, je suis certaine, les apprécieront autant que moi !
N'hésite pas à nous réécrire lorsque tu as des questions! :)
Marilee











