Best Of
Re: Question
Je crois que diamanttimide1867 parle d’une source d’erreur possible lors des manipulations qui auraient pu modifier la réponse finale ou la rendre fausse. Il est spécifier aussi que ça doit être une source d’erreur hors de notre contrôle. Par exemple, les gouttes n'étaient pas tous de la même grandeur pour l’acide, donc c’est moins précis etc…
Je travail sur le même projet que diamanttimide1867 alors moi aussi j’ai le même questionnement…
Re: Question
Bonjour DiamantTimide1867 !
Je t'invite à lire cet article d'AlloProf !
https://www.alloprof.qc.ca/fr/eleves/bv/sciences/les-techniques-d-identification-des-mineraux-s1615
J'aimerais bien t'aider par moi-même, peux-tu me décrire ce que tu veux dire par source d'erreur ? Mais je laisse les experts t'aider sans aucun problème !
Re: Question
Salut!
Tu dois multiplier les deux numérateurs.
$$ 4 \times \frac{3}{4}$$
$$= \frac{4}{1} \times \frac{3}{4}$$
Pour multiplier des fractions, tu dois multiplier les numérateurs ensemble et les dénominateurs ensemble.
$$ =\frac{4\times 3}{1\times4}$$
$$ =\frac{12}{4}$$
Finalement, tu peux réduire la fraction. N'oublie pas qu'une fraction est une division du numérateur par le dénominateur.
$$\frac{12}{4}=12 \div 4 = 3$$
Petite astuce, lorsque tu multiplies une fraction par le même nombre que son dénominateur, la réponse de cette multiplication sera le numérateur!
Je t'invite à consulter la fiche suivante : La multiplication de fractions | Secondaire | Alloprof
Et à revenir nous voir si tu as d'autres questions! :)
Re: Question
Salut :D
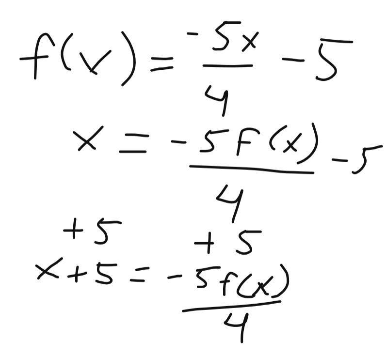
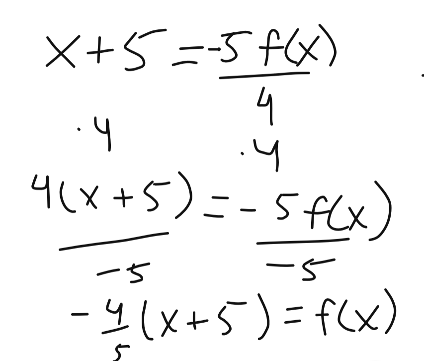
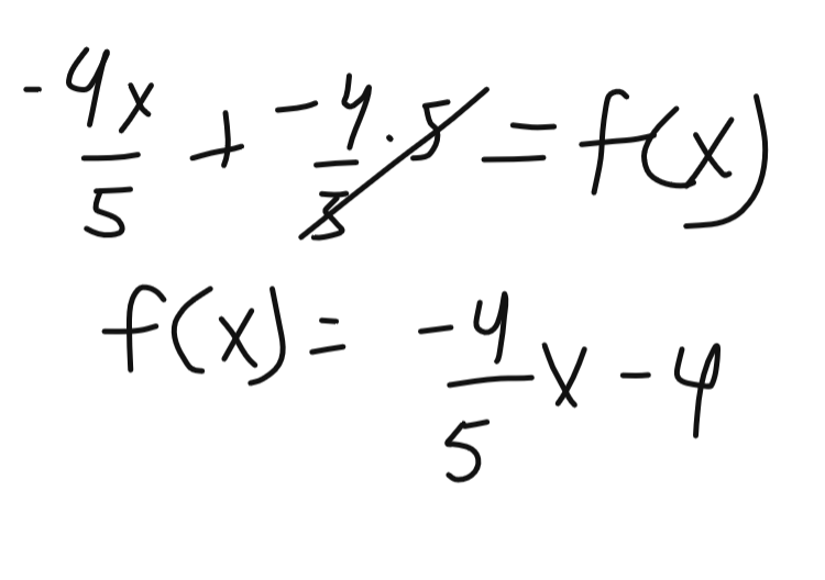
Pour trouver la réciproque d'une fonction donnée, change f(x) par x et x par f(x), puis isole f(x) pour trouver la réciproque.
On appelle cette nouvelle fonction autrement, on peut prendre g(x) par exemple.
Voici comment on procède.
J'espère que ça t'aura aidé.e à comprendre :) À bientôt :D
Re: Question
Salut :D
1) Oui, c'est fonction de variation partielle. Mais, les synonymes que tu as utilisés sont très bons aussi pour la décrire.
2) Pour chaque valeur de x, il y a une seule valeur de y, c'est la définition d'une fonction.
N'hésite pas si tu as d'autres questions :D À bientôt :)
Re: Question
Allo DragonComique7939,
Merci pour ta question!
Les droites sont verticales et horizontales lorsqu'il y a seulement un inconnu dans l'équation.
Par exemple, dans la première, nous avons seulement le x, la droite sera donc verticale. De même pour la deuxième ou nous avons seulement le y, elle sera donc horizontale.
Finalement, la forme canonique avec le paramètre a positif et entier est seulement vrai lorsque nous avons les deux inconnus. Il n'y a pas d'erreur dans les cas demandés.
J'espère t'avoir aidé!
Lea-Kim
Re: Question
Salut,
Merci de ton retour.
Si je trouve d'autres informations, il est certain que je te l'a transmet.
J'ai rajouté un lien sur ta question de départ, tu pourras donc avoir plus d'information.
Également, je t'invite à faire attention aux sources que tu trouves sur ce sujet, j'ai réalisé qu'il avait beaucoup d'information qui était peu appuyée scientifiquement.
Si tu as besoin de plus d'information sur la crédibilité des sources, voici une fiche sur le sujet:
Bonne journée,
Karen
Question
allo allo prof je pense que c un beug mais pourquoi quand je vais dans l'onglet« mes question » pourquoi je vois pu mes vieilles question ??? ça me fait de la peine de ne pas voir toutes les questions que jai posé a allo prof, jjaurais voulu voir mon amélioration...
LAISSEZ FAIRE LE BEUGUE C'EST RÉGLÉ !!!!
Re: Question
Bonjour Krypton :D
Cette plongée des eaux sous l'effet de la salinité et de la température est le moteur de la circulation thermohaline. Or le réchauffement climatique, par ses effets sur la température des eaux et la fonte des glaces, modifie ce phénomène.
Voici un fiche d'alloprof :
Bonne soirée !


