Best Of
Re: Question
Bonjour ElfeLibre1619,
Merci d'avoir utilisé la zone d'entraide pour répondre à tes questions,
Il n'y a pas d'activités pour les procédés descriptifs ou les questions à développement sur alloprof à ce que je sache.
Toutefois, il pourrait il y en avoir sur google si on recherche quelque chose du type "activités procédés descriptifs"
Merci de nous faire confiance,
Ne lâche pas,
OnyxDelta190
Re: Question
Bonjour!
Malheureusement, il n'y a pas d'exercice sur les procédés descriptifs sur Alloprof.
Par contre, nous avons une fiche explicative qui pourrait t'intéresser ;
Nous avons aussi une fiche qui donne des trucs pour répondre aux questions de lecture qui pourrait t'aider! :D
Si tu as d'autres questions, n'hésite pas à nous réécrire. Nous te répondrons avec plaisir!
Laurie :)
Re: Question
Bonsoir GijuEnthousiaste6368!
Merci beaucoup pour ta question!
Si tu cliques sur le lien suivant, tu trouveras un diagramme à ligne brisée.
En espérant que ma réponse ait pu t'aider et n'hésite pas à nous réécrire si des questions persistent.
Bonne soirée!
Re: Question
Salut :D
L’atome est une particule de matière invisible à l’œil nu. Il est l’unité de base de la molécule.
Voici la fiche notionnelle sur le sujet.
Une molécule est un regroupement d’au moins deux atomes liés chimiquement entre eux.
Ici pour la fiche.
Concernant les vidéos, en voici quelques uns en français. :)
Un petit quizz pour toi! C'est possible qu'il soit difficile.
Bon examen :D À ta prochaine question :)
Re: Question
Bonjour BB8Sage,
Bienvenue sur la Zone d'entraide! :)
En effet, c'est un petit bogue connu qui se retrouve dans le jeu. Je te suggère de regarder une carte du monde soit dans ton agenda ou bien sur internet afin d'apprendre à situer l'Île-du-Prince-Édouard.
Merci de nous en avoir fait part! N'hésite pas à nous réécrire si tu as d'autres questions! :)
Marilee
Re: Question
Salut :D
Au numéro 8, il faut trouver le ppcm des deux nombres, 20 et 45. Il s'agit de 180 minutes, donc 3h, tu as trouvé la bonne réponse. :)
Au numéro 9, la partie de droite de ta chaine d'opérations est très bien (toutes les multiplications additionnées entre elles). D'ici à là : 1x3 + ... + 1x33.
À gauche, il ne faut pas mettre le (12 -).
Pour trouver la moyenne, tu prends ce que tu avais mis :
1x3 + ... + 1x33, puis tu le divises par le nombre d'arbres total, qui est représenté par l'addition suivante : 3 + 3 + 2 + 3 + 1.
Continue comme ça :)
Au b), je te conseille de laisser le (8x2-8) au dénominateur, car tu risques de te mélanger. À ta première ligne, on dirait que (8x2-8) multiplie la première expression au lieu de la diviser, ce qui porte à confusion.
Pour le (16-3x4), il faut faire 3x4 en premier, puis soustraire 12 à 16, ce qui donne 4.
Corrige ces éléments, montre-nous ce que ça donne. :)
À tout de suite :D
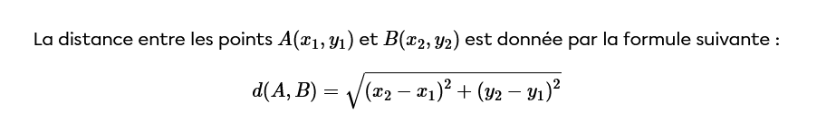
Re: Question
Salut :D
Une fois toutes les coordonnées des points trouvées, il ne te reste plus qu'à trouver les valeurs des mesures des côtés pour le périmètre.
Utilise la formule de distance entre deux points.
Il y a ici un triangle rectangle que tu pourrais peut-être utilisé pour trouver la valeur de la mesure du segment surligné en bleu.
Même chose ici.
Et là. :)
Un dernier :
Pythagore pourrait servir. :)
Sinon, rappelle-toi que la multiplication entre les pentes de droites perpendiculaires est égale à -1.
N'hésite pas si tu as d'autres questions :) À tout de suite :D





