Best Of
Question
Bonjour,
Je voudrais savoir pourquoi les japonais ont attaqué Pearl Harbor ? Quel était leur but ?
Merci beaucoup !
BrachioTimide
Question
merci mille fois cyclopelncomparable9043
tu m'a beaucoup aidée dans mon devoir de lecture
Re: Question
La ville de Bogotá a récemment mis en place un plan d'action climatique, le PAC. Ce plan vise à faire de la capitale une ville plus résiliente et durable, neutre en carbone d'ici 2050, et prévoit notamment une politique de transports plus respectueuse de l'environnement.
Re: Question
Bonjour ! :) Merci de faire appel à nos services !
Ici, on te demande en fait si le travail (organisation, types d'emplois, etc.) a des changements à la suite de la Première phase d'industrialisation.
- Non (continuité)
- Oui (changement)
- Parfois oui, parfois non (continuités et changements).
Tu peux t'inspirer de la fiche suivante pour formuler ta réponse : https://www.alloprof.qc.ca/fr/eleves/bv/histoire/la-premiere-phase-industrielle-1850-1896-h1177
Bonne révision ! :D
Sarah G
Re: Question
Le krash boursier
desoler je me rappelle pas trop en detail mais il y a plus d'info sur google
j'espere ca a aider :)
Re: Question
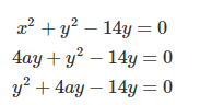
Bonjour DiamantMauve9012,
Ce que tu pourrais faire dans cette situation, ça serait de remplacer l'expression ''x^2'' par 4ay dans l'équation du cercle.
Avec les manipulations algébriques, tu parviendras à isoler la variable ''a'' :
En divisant par ''y'' tous les termes de cette équation, tu obtiens:
Il te resteras à isoler ''a'':
Puis, à l'aide d'une table de valeurs, tu choisis différentes valeurs de ''y'' qui te donneront un résultat ENTIER pour ''a'' afin de déterminer les valeurs possibles de ce paramètre qui répondent à ta question.
Astuce: un graphique aide à mieux visualiser la situation.
Bon travail
Re: Question
Bonjour AllosaureAgile5391,
Voici une fiche de ALLOPROF qui pourra répondre à ta question: https://www.alloprof.qc.ca/fr/eleves/bv/mathematiques/les-methodes-pour-trouver-le-ppcm-et-le-pgcd-simu-m1545
et cette page, https://www.alloprof.qc.ca/fr/eleves/bv/exercices-interactifs/exercice-sur-le-ppcm-et-le-pgcd, te permettra de vérifier tes connaissances sur le sujet. Bonne lecture et bon travail.
Re: Question
Bonjour CielSarcelle967,
Je suis là pour répondre à ta question.
Pour débuter, la Grande Dépression a commencé à cause du Krash boursier après les années folles, lorsque les gens dépensaient beaucoup d'argent. L'économie a soudainement chuté et un cycle de pauvreté a commencé.
Pour en savoir plus, consulte cette fiche:
J'espère avoir répondu à ta question.
Bonne lecture,
PythonRaisonnable612
Re: Question
Bonjour,
La distance réelle correspond à l'hypoténuse de ton triangle rectangle.
Tu as un angle, l’hypoténuse et tu cherches le côté adjacent, tu dois utilisé le cosinus.
cos(x) = adj / hyp
cos(9) = x / 19 175
Voici un lien sur les identités trigo :
Bonne journée


