Best Of
Re: Question
Bonjour ! :D
Nous te remercions chaleureusement pour ce gentil message. Je le partagerai à mes collègues !
Il nous fait toujours plaisir de vous aider!
Bonne journée ! :D
Sarah G
Re: Question
Merci!!!
Ca compte beaucoup pour nous!
Je suis bénévole de la Pro de la zone d entraide et je suis sure qui vont aimer votre message!
Galaxie
Re: Question
Bonjour !
C'est un nombre qui a comm3 exposant 3.
bonne soirée !
CielSuperbe 😉
Re: Question
Bonjour,
La surface totale est la somme des aires de la peinture et du cadre. La peinture mesure 8 cm par 12 cm, et le cadre a une épaisseur de x cm. Donc, la surface totale est (8+2x)×(12+2x)
La surface totale est donnée comme étant 156 cm2 156cm^2, donc vous avez l'équation : (8+2x)×(12+2x)=156
Résous cette équation et trouve la valeur de x. Tu en trouvera 2, car c'est une équation quadratique, et donc une réponse sera la longueur et l autre la largeur.
Bonne journée :)
Re: Question
Oui effectivement la bonne réponse est bel et bien ?=33
Bonne soirée :)
Re: Question
Bonjour OkapiHonorable3143,
Merci d'avoir utilisé Alloprof pour répondre à tes questions.
Pour commencer, je te rassure, tu utilises les bonnes unités de mesure. De plus, le produit croisé est la démarche à suivre dans cette situation. Étant donné qu'après avoir identifié la quantité d'azote dans la solution, tu dois déterminer la quantité de poudre nécessaire pour respecter cette quantité d'azote voulu.
Si tu possèdes encore des doutes sur le ppm, consultes ce lien :
Bonne continuation,
QuartzEmpathique6633
Re: Question
Bonsoir,
Je ne suis pas sûre de quel numéro tu parles entre le #3 et le #4, mais dans les deux, tu dois trouver un groupe du nom, pas un pronom! Un groupe du nom peut être un pronom, mais cela peut être un nom commun aussi!
J'espère que cela t'aide :-) Réécris-nous si tu as d'autres questions!
Audrey
Re: Question
Salut :D
Le Plus Petit Commun Multiple (PPCM) de deux ou plusieurs nombres est le plus petit entier naturel différent de zéro qui est à la fois multiple de tous ces nombres. En voici un exemple avec le diagramme de Venn.
Ici, tu peux consulter différentes méthodes pour le trouver.
Pour le diagramme de Venn, voici une vidéo récapitulative.
N'hésite pas si tu as d'autres questions :D À bientôt :)
Re: Question
Bonjour EndorVirtuose6326,
Merci d'avoir utilisé la zone d'entraide pour répondre à tes questions.
D'abord, à l'aide de l'arbre de facteurs, décompose chaque nombre en produit de facteurs premiers et puis dessine le diagramme de Venn et place les nombres premiers selon si ils sont uniques à un nombre, communs à tous les nombres ou comuns à certains nombres. Pour trouver le PPCM, tu devras mutiplier TOUS les facteurs premiers présents dans le diagramme et pour le PGCD, mutiplie seulement ceux qui sont communs à tous les nombres.
Pour savoir plus, tu peux visiter ce lien: https://www.alloprof.qc.ca/fr/eleves/bv/mathematiques/les-methodes-pour-trouver-le-ppcm-et-le-pgcd-simu-m1545
OnyxSigma9979
Re: Question
Salut!
Aucune de tes réponses n'est la bonne, puisque tu as fait une erreur de signe ici :
Tu as d'abord fait ceci :
$$ 125^2 = (5^3)^2 = 5^6$$
Puis tu as multiplié les exposants 6 et -4 et tu as multiplié les exposants -4 et -4, ce qui est bon
Cependant, -4×6=-24, et non 24, et -4×-4=16, et non -16.
Tu devrais alors avoir ceci :
$$ \frac{7^{\frac{1}{2}}\times5^{-24}\times5^{16}}{5\times 7^4}$$
On simplifie ensuite notre numérateur :
$$ \frac{7^{\frac{1}{2}}\times5^{-24+16}}{5\times 7^4}$$
$$ \frac{7^{\frac{1}{2}}\times5^{-8}}{5\times 7^4}$$
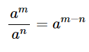
Tu peux ensuite utiliser la loi des exposants suivante :
pour avoir :
$$ 7^{\frac{1}{2}-4}\times5^{-8-1}$$
$$ 7^{-\frac{7}{2}}\times5^{-9}$$
Finalement, on déplace nos facteurs au dénominateur et on enlève leur signe négatif dans leur exposant :
$$ \frac{1}{7^{\frac{7}{2}}\times5^{9}}$$
Voilà! :)



