Best Of
Re: Question
Bonjour,
Merci pour ta question!
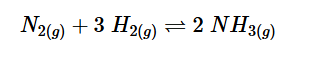
Il s'agit d'une question très légitime. Ce qu'il faut regarder, c'est les coefficients stœchiométriques des réactifs comparativement à ceux des réactifs. Par exemple, prenons cette réaction :
En additionnant les coefficients des réactifs, on obtient 4 moles. Pour les produits, il n'y a seulement que 2 moles. Ainsi, pour une augmentation de pression, la réaction favorisée serait donc la réaction directe.
Voici une fiche pour plus d'informations :
J'espère t'avoir aidé. N'hésite pas si tu as d'autres questions!
Question
Bonsoir! j'aimerai une reponce le plus vite possible! demain j'ai un examen de math, et par chance, je sais comment l'examen ressemble. Mais malhereusement je comprend que a moitié la notion, j'aimerais que quelqu'un m'aide d'ici demain matin, la page en question est Décimal B, 6ème année page 131 question 2. Mercii 😃🥲
Re: Question
Salut AluminiumSarcelle8083 !
Merci d'avoir posé ta question. :)
Lorsqu’on souhaite effectuer une il n’est pas toujours possible d’interroger chaque membre d’une population à cause de contraintes géographiques, monétaires ou temporelles. Par contre, il est tout de même possible d’en apprendre plus à propos de la population visée en analysant un sous-groupe de la population, appelé Lorsqu’on souhaite effectuer une enquête, il n’est pas toujours possible d’interroger chaque membre d’une population à cause de contraintes géographiques, monétaires ou temporelles. Par contre, il est tout de même possible d’en apprendre plus à propos de la population visée en analysant un sous-groupe de la population, appelé échantillon.
Pour que l'échantillon soit représentatif, il faut qu'il représente le plus possible la population en ayant le même pourcentage selon ses caractéristique. Par exemple, si on parle de la population mondiale, on essayera d'avoir environ 50% de femmes et d'hommes.
Voici notre fiche sur l'échantillonnage si tu veux en apprendre plus :
N'hésite pas à repasser nous voir si tu as d'autres questions! :)
Angélique
Re: Question
Bonjour,
Merci pour ta question!
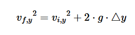
Les équations du mouvement de la pierre font référence aux formules utiles pour le mouvement de projectile. Il est important de se rappeler que le mouvement de projectile se décompose en deux parties, un MRU à l'horizontale et un MRUA à la verticale à cause de la force gravitationnelle. Ainsi, on peut utiliser les données du problème et les insérer dans les équations de MRUA. Les équations te permettront de trouver d'autres valeurs importantes, comme la hauteur maximale.
Pour déterminer la hauteur maximale de la pierre, il est important de se rappeler qu'à son point le plus haut, la vitesse verticale sera nulle. Pour calculer la hauteur, il faut fixer le point final au point le plus haut. On peut utiliser la formule suivante :
On peut trouver la vitesse initiale en y à l'aide des informations données dans la question. Dans un mouvement de projectile, la vitesse au début du mouvement est identique à la vitesse à la fin du mouvement. On connait donc les deux vitesses, car il s'agit de la même valeur. On connait aussi la force gravitationnelle. Il reste donc à isoler y pour trouver la hauteur maximale.
Voici une fiche contenant un exercice similaire au tien (le golfeur) :
J'espère t'avoir aidé. N'hésite pas si tu as d'autres questions!
Question
Merci à tout ce qui m’ont aider
CygneFantastique5250
RubisCalme937
CitronJaune6131
Bonne chance a vous aussi pour l’examen du minitere
Re: Question
Salut RubisAdorable3326 !
Merci d'avoir posé ta question. :)
Voici une fiche qui t'expliquera comment te préparer à l'examen du ministère de mathématiques :
Tu peux aussi réviser les mathématiques de la 6e année avec cette fiche de révision :
Voici aussi une fiche sur comment te préparer à l'examen du ministère de français :
Enfin, voici une fiche sur la gestion du stress pour t'aider à te sentir mieux durant cette période :
N'hésite pas à repasser si tu as d'autres questions et bon succès à ton examen. :)
Angélique
Re: Question
Salut PamplemoussePacifique6473 !
Merci d'avoir posé ta question. :)
La culture mondiale est un résultat de la mondialisation. En effet, le partage des différentes cultures autour du monde va influencer toutes les populations autour du monde. Parfois, une des cultures va être plus populaire, comme la culture américaine, par exemple, qui partage sa culture musicale et cinématographique tout autour du monde.
« La mondialisation entraîne une certaine uniformisation des modes de vie et de consommation. Les modes de vie, y compris culturels, sont de plus en plus partagés : musique, habitudes vestimentaires ou alimentaires, pratiques culturelles (films, séries télévision), etc. »
Voici la source où j'ai trouvé cette citation si tu veux en apprendre plus :
N'hésite pas à repasser si tu as d'autres questions. :)
Angélique
Re: Question
Salut!!!!!!!!!!!!!!!!!!!!!!!!!!!!!!!!!!!!!!!!!!!!!!!!!!!!!!!!!!!!!!!!!!!!!!!!!!!!!!!!!!!!!!!!!!!!!!!!!!!!!!!!!!!!!!!!!!!!!!!!!!!!!!!!!!!!!!!!!!!!!!!!!!!!!!!!!!!!!!!!!!!!!!!!!!!!!!!!!!!!!!!!!!!!!!!!!!!!!!!!!!!!!!!!!!!!!!!!!!!!!!!!!!!!!!!!!!!!!!!!!!!!!!!!!!!!!!!!!!!!!!!!!!!!!!!!!!!!!!!!!!!!!!!!!!!!!!!!!!!!!!!!!!!!!!!!!!!!!!!!!!!!!!!!!!!!!!!!!!!!!!!!!!!!!!!!!!!!!!!!!!!!!!!!!!!!!!!!!!!!!!!!!!!!!!!!!!!!!!!!!!!!!!!!!!!!!!!!!!!!!!!!!!!!!!!!!!!!!!!!!!!!!!!!!!!!!!!!!!!!!!!!!!!!!!!!!!!!!!!!!!!!!!!!!!!!!!!!!!!!!!!!!!!!!!!!!!!!!!!!!!!!!!!!!!!!!!!!!!!!!!!!!!!!!!!!!!!!!!!!!!!!!!!!!!!!!!!!!!!!!!!!!!!!!!!!!!!!!!!!!!!!!!!!!!!!!!!!!!!!!!!!!!!!!!!!!!!!!!!!!!!!!!!!!!!!!!!!!!!!!!!!!!!!!!!!!!!!!!!!!!!!!!!!!!!!!!!!!!!!!!!!!!!!!!!!!!!!!!!!!!!!!!!!!!!!!!!!!!!!!!!!!!!!!!!!!!!!!!!!!!!!!!!!!!!!!!!!!!!!!!!!!!!!!!!!!!!!!!!!!!!!!!!!!!!!!!!!!!!!!!!!!!!!!!!!!!!!!!!!!!!!!!!!!!!!!!!!!!!!!!!!!!!!!!!!!!!!!!!!!!!!!!!!!!!!!!!!!!!!!!!!!!!!!!!!!!!!!!!!!!!!!!!!!!!!!
Re: Question
Salut RubisAdorable3326 !
Avec grand plaisir. :)
Je te souhaite un bon succès à ton examen!
Angélique
Re: Question
Salut, DauphinPacifique6929! :)
Merci d'utiliser la Zone!
Premièrement, voici justement notre fiche nommée Trucs pour conjuguer:
Ensuite, une vidéo explicative à ce sujet:
Ensuite, voici nos exercices qui pourraient t'aider:
Enfin, voici notre jeu Conjugo, un jeu spécialement créé pour la pratique de la conjugaison!
Amuse-toi bien et n'hésite pas à nous réécrire si tu as d'autres questions!
Iris

