Best Of
Re: Question
Bonjour FraiseAdorable,
Merci pour ta question!
Je n'ai pas beaucoup de contexte ici, mais j'en comprends que dans l'énoncé, ce qui est important est la force totale qui retient la masse. En effet, les deux cordes ont le même rôle, soit de soutenir la masse. Dans ce cas, il est superflu de tracer deux vecteurs différents.
N'hésite pas si tu as encore besoin d'aide:)
Kylan
Re: Question
Bonjour QuartzTurquoise4160,
Merci d'avoir utilisé la Zone d'entraide!
Dans le fond, un vrai système démocratique, c’est quand c’est vraiment le peuple qui décide. Pas juste en votant aux élections, mais aussi dans plein d’aspects de la vie quotidienne.
Tu peux t’exprimer sans avoir peur, les médias peuvent dire ce qu’ils veulent, et il n'y pas juste une personne qui a tout le pouvoir. Les lois s’appliquent à tout le monde, même au premier ministre.
Pour être sûr que c’est vraiment une démocratie, il faut se poser ces questions :
- Est-ce que les élections sont honnêtes ?
- Est-ce que les gens peuvent critiquer le gouvernement sans se faire arrêter ?
- Est-ce que les juges sont vraiment indépendants ?
- Est-ce que les journalistes peuvent parler librement ?
Si on répond non, ce n'est peut-être pas si démocratique que ça.
En conclusion, ce n'est pas juste le droit de voter, C’est aussi le droit de s’exprimer librement, de participer activement à la vie publique et de s’assurer que les droits de tous sont respectés.
J'espère t'avoir aidé! Si tu as des questions, n'hésite pas à revenir nous voir!
ElfeTimide233
Re: Question
Merci pour ta question!
Il s'agit probablement d'une imprécision du thermomètre ou une erreur de la lecture.
N'hésite pas si tu as d'autres questions!
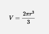
Re: Question
Salut à toi intrépide prodige! 😁
Ça nous fait plaisir que tu utilises Alloprof!
Commençons par le e).
La formule théorique pour l'aire d'une demi-sphère est la suivante.
On peut isoler le rayon (r) dans la formule grâce à la valeur de l'aire totale qu'on nous donne.
On peut alors calculer le volume de la première demi-sphère grâce au rayon. Voici la formule.
Je te laisse poursuivre à partir d'ici! Tu pourras trouver le volume, faire la proportion grâce au 64/27, puis isoler le r dans la deuxième formule de volume. Enfin, grâce au rayon, tu pourras refaire une formule d'aire totale.
Pour réviser l'isolation d'une variable (comme r), c'est par ici.
Écris-nous si tu as d'autres questions. 😊
À bientôt sur la Zone d'entraide! 😎
Re: Question
Bonjour!
Comme je ne connais pas le texte en question, je ne peux pas t'aider.
Cependant, je t'invite à réfléchir par étape. Quelle est la situation d'Éveline avant et après le début de l'histoire? Est-ce que ces situations sont différentes? Qu'est-ce qui a causé la nouvelle situation d'Évelyne? Essaie de répondre de façon précise en justifiant bien ta réponse! :D
Si tu as d'autres questions, n'hésite pas à nous réécrire. Nous te répondrons avec plaisir!
Laurie :)
Question
Je dois trouver comment calculer l'aire totale d'un demi-cylindre et un réctangle mais malheureusement je comprends pas !merci.
Question
Bonjour Alloprof!
Il sortira quand votre nouveau jeu? J'ai très hate!
-Merci
Re: Question
Bonjour!
Effectivement, si les actions décrites par les verbes à l'imparfait se sont produites dans le passé, il s'agit là d'une bonne justification! :D
Afin de compléter ta réponse, je t'invite à consulter la fiche ci-dessous. Elle contient une section nommée « L'emploi de l'imparfait de l'indicatif »! :D
Si tu as d'autres questions, n'hésite pas à nous réécrire. Nous te répondrons avec plaisir!
Laurie :)
Re: Question
Bonjour!
En fait, lorsqu'on dit que le total du diagramme, on parle de pourcentage et non pas du nombre d'enfants.
Dans ce problème, le total du nombre d'enfant, donc 100% des enfants correspond à 30.
30 enfants = 100% des enfants
On te demande donc de trouver le nombre d'enfant qui, par exemple, ont choisi d'aller voir un court métrage d'aventure. Pour ce faire, tu devras trouver combien à combien d'enfants correspond 20%. Tu devras donc faire 20% x 30 ou, écrit autrement, 0,2 x 30.
J'espère t'avoir aidé! Si tu as d'autres questions, n'hésite pas à nous réécrire. Nous te répondrons avec plaisir!
Laurie :)
Re: Question
Salut!
Tu as calculé le volume, et non l'aire ;) Cependant, tu dois prendre en compte les dimensions du grand bac et celles de la boite de verre!
Quand tu divises les volumes, tu supposes que tout l'espace du grand bac peut être parfaitement rempli par les petites boîtes, sans vide entre elles. Cependant, puisque les boîtes ont une forme rectangulaire, il faut les placer en respectant leurs dimensions. Tu ne peux pas les couper en morceaux ou les plier pour combler tous les petits espaces restants!
Ainsi, dans ce problème, tu dois vérifier combien de fois la petite boîte entre dans chaque dimension du grand bac, pas juste en volume, mais en longueur, largeur et hauteur aussi!
Par exemple, en hauteur, on regarde combien de fois on peut empiler des boites de 6 cm de hauteur sur une hauteur totale de 50 cm :
$$50 \div 6 = 8,333$
En d'autres mots, on peut mettre 8 boites complètes de verres sans que ça dépasse le grand bac.
Tu dois vérifier cela pour chaque dimension. Puis, tu devras multiplier le nombre de boites que l'on peut mettre dans chaque dimension pour obtenir le nombre total de boites que l'on peut mettre dans le grand bac.
Voici une petite explication que j'avais donnée à un autre élève il y a quelques semaines, on parle du même problème, je pense que ça pourrait t'aider :)
Re-bonjour !<br> Désolée de poser beaucoup de question 😥!<br> J — Alloprof
Je te laisse corriger le tout avec ces indices. Réécris-nous si tu souhaites que l'on vérifie ta nouvelle démarche! :)


