Best Of
Re: Question
Bonjour OpaleTurquoise456, merci pour ta question !
En fait, ce qu'il faut comprendre avec la rotation des miroirs plans, c'est que cette rotation va avoir un impact sur ton angle d'incidence, et donc aussi sur ton angle de réflexion.
La loi de la réflexion nous dit que l'angle d'incidence et l'angle de réflexion sont égaux. Donc en inclinant ton miroir, tu vas influencer l'angle par lequel ton rayon va arriver, et donc cela va en suite aussi influencer l'angle par lequel il sera réfléchi.
La règle est que si tu inclines ton miroir de x degrés, la variation d'angle sera égale au double de cet inclinaison. Voilà un exemple :
Ici, le miroir est incliné de 10°, cela dévie le rayon réfléchi de 20° !
SI tu veux en savoir plus, on a quelques exemples supplémentaire que tu peux retrouver juste ici : https://www.alloprof.qc.ca/fr/eleves/bv/physique/les-miroirs-plans-p1043
N'hésite pas à nous écrire si tu as d'autres questions !
Re: Question
Salut JujubeHumoristique2599!
Merci pour ta question. :)
Je te propose personnellement d'utiliser DeepL! Par contre, sache qu'aucun traducteur n'est parfait, il se peut donc que de petites erreurs se glissent. :)
Voici un lien vers cet outil de traduction :
En espérant que cela répond à ta question. Si tu en as d'autres, n'hésite surtout pas à nous réécrire, il nous fera plaisir de t'aider à nouveau!
À bientôt,
Océane :)
Re: Question
Salut RobotRapide4832,
Merci pour ta question!
Premièrement, je te recommande de te faire une grande équation de l'aire totale ;) L'aire totale (54 cm²) c'est donc l'aire du triangle + l'aire du carré.
$$A_{tot}=c^{2}+\frac{b\times h}{2}$$
Ensuite, on voit que la hauteur du triangle = la mesure du carré et que la base du triangle = la mesure du carré. On a donc :
$$A_{tot}=c^{2}+\frac{c\times c}{2}$$
Il ne te reste qu'à isoler ;)
En espérant t'avoir aidé,
Laurie
Re: Question
Bonjour OnyxDynamique,
Merci de faire appel à nos services! :)
Pour compléter ton profil, tu dois cliquer sur « Mon profil » qui se trouve juste en bas de ton pseudonyme.
Ensuite, tu dois remplir les diverses informations demandées (type de profil, langue d'enseignement, niveau scolaire, etc.).
Enfin, une fois toutes ces étapes réalisées, tu devras te rendre dans ta boîte courriel afin de confirmer ton adresse courriel. Il se peut que le courriel envoyé ne soit pas dans ta boîte générale. Je te suggère donc de vérifier tes pourriels.
Et voilà! Ton profil sera complété 🥳
N'hésite pas à nous réécrire si tu as d'autres questions !:)
Marilee
Re: Question
Bonjour MegalosaureChouette,
Merci pour ta question!
Les mathématiques CST sont plus concrètes dans le sens qu'elles s'appliquent mieux à la vie courante. Par exemple, il va s'agir de géométrie ou de valeurs concrètes et réelles.
Les mathématiques SN sont plus abstraites, car elles font appel à des concepts mathématiques qui sont parfois plus difficiles à imaginer dans un sens pratique. Il s'agit de notions mathématiques abstraites, comme les probabilités, la résolution d'équations algébriques et les fonctions.
Les mathématiques ne nécessitent pas davantage de culture générale! Elles demandent cependant une capacité d'abstraction plus grande que les mathématiques CST.
Pour plus d'informations:
Je t'invite également à en parler à ton prof de maths qui pourra mieux te renseigner!
N'hésite pas si tu as encore besoin d'aide:)
Kylan
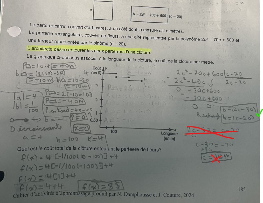
Re: Question
Salut!
Pour le premier numéro, tu as bien trouvé l'expression algébrique correspondante à la base du rectangle, bravo! Cependant, tu ne peux pas poser l'équation suivante :
$$base = hauteur$$
$$2c-30=c-20$$
Il s'agit d'un rectangle, et non d'un carré, donc la base et la hauteur ne sont pas équivalentes!
Pour trouver la valeur de la variable c, pourrais-tu nous envoyer l'exercice en entier? J'ai l'impression qu'on te donne des informations supplémentaires importantes ailleurs et que tu ne les as pas utilisées. Y a-t-il un énoncé en haut des deux figures? Par exemple, est-ce qu'on te dit que les deux figures ont la même aire? Si c'est le cas, alors tu peux poser l'équation suivante :
$$c^2 = 2c^2-70c+600$$
Puis la résoudre pour trouver la valeur de la variable c.
Sinon, réécris-nous en nous envoyant une photo complète du problème, nous pourrons alors mieux t'aider à voir comment trouver c :)
De plus, tu n'as pas la bonne équation pour la fonction partie entière. Pour trouver le paramètre a, tu dois trouver la hauteur entre deux marches :
La hauteur entre deux marches est de 0,25. Donc, a=0,25.
Voici une fiche qui pourrait t'être utile : Trouver la règle d'une fonction en escalier (partie entière) | Secondaire | Alloprof
Une fois que tu as la bonne règle et la longueur totale du contour des deux formes, tu dois remplacer x dans l'équation de la fonction par cette longueur totale pour trouver le coût total. Ici, tu as remplacé x par 0, donc tu cherches le coût pour une longueur de 0 mètre. Ce n'est pas ce qu'on cherche ;)
Concernant la question 6, attention, tu dois te rappeler que, si on cherche la partie entière d'un nombre, alors on doit enlever la partie décimale et garder uniquement la partie entière. Dans tes calculs, tu traites les crochets de la partie entière comme des parenthèses, ce qui n'est pas la même chose ;)
Par exemple, la partie entière de 2,47 est 2.
Voici d'autres exemples similaires pour mieux comprendre :
Je te laisse corriger le tout. J'espère que cela t'aide! :)
Re: Question
Salut FraiseFantastique1207!
Merci pour ta question. :)
Il restera toujours des livres, même lorsque tu auras terminer de t'occuper de tes monstres! En effet, dans Grimoire, il y a une grande sélection de livres pour que tu puisses choisir ceux qui t'intéressent le plus. Tu n'es pas obligé de lire tous les livres pour compléter le jeu. :D
En espérant que cela répond à ta question. Si tu en as d'autres, n'hésite surtout pas à nous réécrire, il nous fera plaisir de t'aider à nouveau!
À bientôt,
Océane :)
Question
1.Je n'ai pas compris la différence entre Émigrant et Immigrants. Comment peut-on le reconnaître. Quels sont les moyens de transport d'un émigrants et d'un immigrants.
2.C'est quoi la mécanisation? elle se ressemblait comment? Comment il pouvaient en avoir?
3.On sait que les gens quittaient la la campagne pour aller refaire vie.. Quel est la raison qu'est-ce qui les poussait à quitter la campagne?








