Best Of
Re: Question
1/3 = 0.333333....
33 1/3 % = 33.333.. % = 33.33.../100 = 0.333..... = 1/3
donc 33 1/3 % de 99 c'est en fait 1/3 de 99 = 99 x 1/3 = 33
ou encore si on ne se rend pas compte que 33 1/3 % = 1/3 on fait
33 1/3 % de 99 ≈ 99 x 33.33/100 (c'est approximatif car je ne garde pas toutes les décimales) = 32.9967 ou 33 si on arrondit
Re: Question
Bonjour!
C'est exactement ça! :D
Pour le vérifier, tu peux consulter la page de dictionnaire ci-dessous! :D
Si tu as d'autres questions, n'hésite pas à nous réécrire. Nous te répondrons avec plaisir!
Laurie :)
Re: Question
Le graphique est utile pour bien visualiser une période.
60 secondes c'est 60/8 = 7 périodes et 4 secondes
Tu peux répondre à des questions sur des périodes subséquentes en utilisant la première période. Par exemple si on veut savoir la hauteur de la pale bleue après 78 secondes => 78/8 = 9 périodes et 6 secondes => la h(78) = h(6) que tu connais si tu as le graphique.
Mieux encore, si tu as déterminé h(t) tu utilises la fonction: c'est plus précis.
Utiliser les deux te permet de valider tes résultats.
Re: Question
Bonjour!
Ici, il faut se demander ce que « le » remplace!
Dans le cas de cette phrase, « le » remplace « accepter des pourboire ». Afin de t'aider à comprendre, nous pouvons remplacer cet énoncé par « cela ».
On interdit cela aux serveur. -> ainsi, nous pouvons voir que notre pronom de reprise doit être au masculin singulier (puisqu'il s'agit d'une idée générale). Le pronom de reprise sera donc « le », qui remplace « accepter des pourboires ».
J'espère t'avoir aidé! Si tu as d'autres questions, n'hésite pas à nous réécrire. Nous te répondrons avec plaisir!
Laurie :)
Re: Question
Bonjour!
Ici, il s'agit seulement de la construction du verbe. En effet, on succède à quelqu'un ou quelque chose! Parfois, même si on trouve que quelque chose sonne mieux, c'est seulement parce qu'on est habitué d'utiliser le mot de manière incorrecte! :)
Comme on doit dire « succéder à quelqu'un », le pronom à utiliser est « lui ». Le pronom « la » ne remplacerait pas « à Agnès », mais simplement « Agnès », ce qui reprend la forme fautive.
J'espère t'avoir aidé!
Si tu as d'autres questions, n'hésite pas à nous réécrire. Nous te répondrons avec plaisir!
Laurie :)
Re: Question
Bonjour!
Le complément indirect du verbe est toujours introduit par une préposition.
Dans le cas de cette phrase, le CI est « d'une pochette ». Il peut être difficile de repérer la préposition puisqu'elle est contractée.
L'une des manipulation qu'on peut effectuer pour identifier si un complément du verbe est direct ou indirect et de le remplacer par « cela » ou « de cela », « à cela », « pour cela », etc.
Essayons :
Elle sort cela les radiographie... -> ça ne fonctionne pas! Le sens de la phrase change.
Elle sort de cela les radiographie -> ici, ça fonctionne! La phrase indique bien que le sujet sort les radiographie de quelque chose!
Il s'agit donc bien d'un complément indirect! :D
Voici une fiche pour en apprendre plus sur le complément direct ou pour voir d'autres exemples :
Si tu as d'autres questions, n'hésite pas à nous réécrire. Nous te répondrons avec plaisir!
Laurie :)
Re: Question
Bonjour,
Merci pour ta question!
On appelle ce processus la respiration cellulaire. Tu peux toujours consulter cette fiche explicative pour plus d'informations :
N'hésite pas si tu as d'autres questions!
Re: Question
10 tours en 1 minute correspond à un tour en 6 secondes.
Un angle de 30º correspond à 1/2 seconde.
Que tu utilises un h = -1/2 ou h = 5 1/2 (ici le h est le paramètre de déphasage) tu arriverais à la même valeur de hauteur.
Pour de l'info sur le point d'inflexion: https://www.alloprof.qc.ca/fr/eleves/bv/mathematiques/la-recherche-de-la-regle-d-une-fonction-sinus-m1173
Re: Question
Salut!
Tout d'abord, l'axe des \(x\) représente le temps écoulé en heures depuis minuit, et l'axe des \(y\) représente le niveau de la marée en m.
La différence entre la marée haute (le maximum de la fonction) et la marée basse (le minimum de la fonction) est de 24 m, donc l’amplitude de la fonction est la moitié de cette différence:
$$A =\frac{24}{2}=12$$
Ensuite, on nous dit que 6h15 min (donc 6,25 h) s'écoule entre la marée haute et la marée basse. Notre fonction débute à un minimum, donc le prochain maximum doit être à x=6,25h. Ainsi, la période est de 12,5h.
Puisqu'on commence à un minimum, on va utiliser une fonction cosinus, ce qui nous permet d'éviter de calculer le décalage horizontal, donc h=0.
On rassemble maintenant nos paramètres pour trouver la règle de notre fonction. On a pour l'instant |a|=12 et h=0. Pour calculer k, on cherche l'axe d'oscillation avec cette formule :
Donc :
$$k=\frac{24+0}{2}=12$$
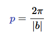
On calcule aussi la valeur du paramètre b à l'aide de la période de 12,5h :
$$12,5=\frac{2\pi}{|b|}$$
$$|b|=\frac{2\pi}{12,5}=\frac{4\pi}{25}$$
Puisque le signe de b ne change rien à l’allure de la courbe, le plus simple est de choisir la valeur positive.
$$b=\frac{4\pi}{25}$$
Finalement, on doit trouver le signe du paramètre a. Puisque le point qui débute le cycle est un minimum, alors le paramètre a doit être négatif :
$$a=-12$$
Notre règle complète est donc :
$$f(x)=-12\cos\left(\frac{4\pi}{25}x\right)+12$$
Pour le c), les visiteurs peuvent marcher sur les fonds marins trois heures avant et trois heures après la marée basse. Donc, à chaque marée basse, les gens peuvent marcher de :
marée basse - 3h à marée basse + 3h
La première marée basse a eu lieu à minuit, donc l'intervalle de temps est de :
- Trois heures avant : 21h la veille (mais ça ne nous concerne pas parce que le parc ouvre à 8 h).
jusqu'à
- Trois heures après : 3h du matin (encore avant l’ouverture du parc).
La prochaine marée basse se produit 12,5 heures après la précédente, donc :
$$0 h+12,5 h=12,5 h=12 h30$$
C’est à 12h30 qu’il y a la prochaine marée basse!
Donc, pour cette marée :
- Trois heures avant : 9h30
- Trois heures après : 15h30
Ces heures sont bien dans les heures d’ouverture du parc (8 h à 21 h)!
Ainsi, les visiteurs ont pu marcher sur les fonds marins entre 9h30 à 15h30, tu as eu la bonne réponse, bravo! :)
Voilà! J'espère que cela t'aide! :)
PS Pourrais-tu nous envoyer tes démarches les prochaines fois stp? Il sera ainsi plus facile pour nous de t'indiquer si tu es sur la bonne voie ou non ;)
Re: Question
Bonjour PapillonOmicron3821 !
Merci pour ta question! :)
Quand ton orteil bouge, ses cellules ont besoin d’énergie pour fonctionner. Pour produire cette énergie, elles brûlent du sucre en utilisant de l’oxygène dans des petites usines appelées mitochondries. Ce processus, qui s’appelle la respiration cellulaire, crée du dioxyde de carbone (CO₂) comme déchet.
Une fois créé, le CO₂, qui est très petit, quitte la cellule par diffusion, un peu comme une odeur qui se répand dans une pièce. Il se déplace d’un endroit où il y en a beaucoup (dans la cellule) vers un endroit où il y en a moins (le liquide qui entoure la cellule, appelé liquide interstitiel).
Ce liquide interstitiel aide le CO₂ à se diriger vers les capillaires, de minuscules vaisseaux sanguins qui parcourent tout ton corps. Dans le sang, le CO₂ voyage sous trois formes : il peut être dissous directement dans le plasma (la partie liquide du sang), se fixer à une protéine appelée hémoglobine dans les globules rouges, ou être transformé en bicarbonate (HCO₃⁻). Cette transformation s’effectue grâce à une enzyme présente dans les globules rouges qui aide à convertir le CO₂ en bicarbonate, facilitant ainsi son transport.
Le sang chargé en CO₂ est ensuite transporté vers le cœur, qui pompe ce sang vers les poumons par l’artère pulmonaire. Dans les poumons, le sang passe dans de petits vaisseaux entourant les alvéoles, de minuscules sacs d’air. Comme l’air dans les alvéoles contient beaucoup d’oxygène et très peu de CO₂, ce dernier se diffuse hors du sang pour entrer dans l’air des alvéoles.
Enfin, lors de l’expiration, l’air contenant le CO₂ est expulsé de ton corps. Ainsi, ton corps élimine le déchet du CO₂ produit lors de la fabrication de l’énergie, assurant que tout reste en équilibre.
J'espère avoir répondu à ta question! Voici les fiches qui m'ont aidé à construire cette réponse:
https://www.alloprof.qc.ca/fr/eleves/bv/sciences/la-diffusion-et-l-osmose-s1244
https://www.alloprof.qc.ca/fr/eleves/bv/sciences/les-constituants-du-sang-s1271
Si tu as d'autres questions, n'hésite pas à revenir nous voir, ça va nous faire plaisir de t'aider! :)
Bonne journée! :D




