Skip to content

Help Zone

Student Question

Secondary IV • 11mo.

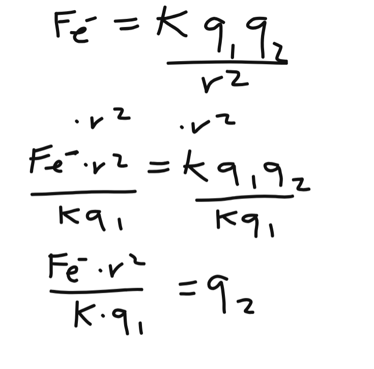
La formule de base de la loi de coulomb nous permet de trouver F sois la force entre les corps.

F=k q1 q2 / r²

Mais comment fait-on pour isoler une des deux charges (q2 par exemple) ?

Sciences
avatar
avatar

{t c="richEditor.description.title"} {t c="richEditor.description.paragraphMenu"} {t c="richEditor.description.inlineMenu"} {t c="richEditor.description.embed"}

Explanations (1)

  • Explanation from Alloprof

    Explanation from Alloprof

    This Explanation was submitted by a member of the Alloprof team.

    Options
    Team Alloprof • 11mo.

    Salut KryptonHonorable7634 😁

    Merci pour ta question!


    Tu peux utiliser la méthode de la balance vue en algèbre pour isoler cette variable.


    Voici comment faire.

    {273FEE96-81BF-4E56-9DFC-F3E7D1F31D7C}.png


    Écris-nous si tu as d'autres questions. 😊

    À bientôt sur la Zone d'entraide! 😎

Ask a question