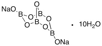
The complete formula is Na\(_2\)B\(_4\)O\(_7\)·10H\(_2\)O. This means that the molecule is hydrated.
Ce contenu est protégé par le droit d'auteur. Toute reproduction à l'extérieur des forums Alloprof est interdite et pourra être considérée comme une violation du droit d'auteur.
Some molécules are sensitive to water to a certain degree. This annotation is meant to express this.
If you have any other question, feel free to ask them !
Explanation from Alloprof
This Explanation was submitted by a member of the Alloprof team.
Hi !
The complete formula is Na\(_2\)B\(_4\)O\(_7\)·10H\(_2\)O. This means that the molecule is hydrated.
Ce contenu est protégé par le droit d'auteur. Toute reproduction à l'extérieur des forums Alloprof est interdite et pourra être considérée comme une violation du droit d'auteur.
Some molécules are sensitive to water to a certain degree. This annotation is meant to express this.
If you have any other question, feel free to ask them !