Ce contenu est protégé par le droit d'auteur. Toute reproduction à l'extérieur des forums Alloprof est interdite et pourra être considérée comme une violation du droit d'auteur.
Ici, nous devons utiliser la capacité thermique massique ainsi que les changements de températures de deux substances afin de trouver la masse du Nickel. Cela étant dit, nous pouvons traiter l’eau comme étant la première substance et le Nickel étant le deuxième. Par ailleurs, il est important de savoir que la capacité thermique massique de l’eau est de 4,19 J/(g·°C) et que la température finale est celle de l’eau et de la plaque.
Voici une formule qui devrait t’aider.
Ce contenu est protégé par le droit d'auteur. Toute reproduction à l'extérieur des forums Alloprof est interdite et pourra être considérée comme une violation du droit d'auteur.
De plus, je t’invite à cliquer sur les liens ci-dessous afin d’en apprendre davantage sur le sujet.
Explanation from Alloprof
This Explanation was submitted by a member of the Alloprof team.
Bonsoir, MentheDynamique2043,
Merci de solliciter nos services.
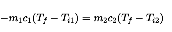
Ici, nous devons utiliser la capacité thermique massique ainsi que les changements de températures de deux substances afin de trouver la masse du Nickel. Cela étant dit, nous pouvons traiter l’eau comme étant la première substance et le Nickel étant le deuxième. Par ailleurs, il est important de savoir que la capacité thermique massique de l’eau est de 4,19 J/(g·°C) et que la température finale est celle de l’eau et de la plaque.
Voici une formule qui devrait t’aider.
Ce contenu est protégé par le droit d'auteur. Toute reproduction à l'extérieur des forums Alloprof est interdite et pourra être considérée comme une violation du droit d'auteur.
De plus, je t’invite à cliquer sur les liens ci-dessous afin d’en apprendre davantage sur le sujet.
En espérant que ma réponse t’aide un petit peu.
N’hésite pas à nous réécrire, si tu as d’autres questions ou si tu as besoin de précisions!
À bientôt !
Émilie