Skip to content

Help Zone

Student Question

Postsecondary • 1yr.

Vous devez payer à quelqu' un 10 000$ au début de chaque année, pendant quatre ans. Le taux d'intérêt

nominal, capitalisable mensuellement est de 6%. Quelle est la valeur actuelle de ces paiements?



Comment faire pour calculer cela

Financial Education
avatar
avatar

{t c="richEditor.description.title"} {t c="richEditor.description.paragraphMenu"} {t c="richEditor.description.inlineMenu"} {t c="richEditor.description.embed"}

Explanations (1)

  • Explanation from Alloprof

    Explanation from Alloprof

    This Explanation was submitted by a member of the Alloprof team.

    Options
    Team Alloprof • 1yr. edited March 2024

    Bonjour, RequinDynamique9649!

    D'abord, identifie les informations que tu connais.

    1) La valeur du paiement est de $10,000.

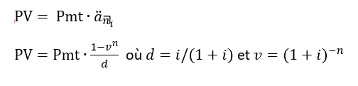
    2) Le paiement est fait au début de l'année. Cela correspond à une formule précise.

    3) La variable n est le nombre de périodes.

    4) Le taux d'intérêt nominal, capitalisable mensuellement, est de 6%. La formule du taux d'intérêt est la suivante.

    $$ i =\frac{i^{(m)}}{m}=\frac{0.06}{12} $$

    Ensuite, trouve la valeur actuelle.

    User: "image.png"

    N'hésite pas à nous contacter si tu as d'autres questions!

Ask a question