Populaires
Re : Question
Allo ChloreCocasse3126,
Merci pour ta question!
Pour le C, tu dois faire un produit croisé. $$3(8a+2)=9-a$$ Ensuite, tu peux trouver la valeur de a.
Pour le d, il faut utiliser la même méthode que pour le a. C'est simplement les nombres décimaux qui sont différents.
Pour le e, je te conseille de transformer le 3 et 1/4 en fraction de cette façon : $$3(4)+1= 13/4$$
J'espère t'avoir aidé!
Lea-Kim
Re : Question
Allo QuartzMauve9732,
Merci pour ta question!
La base et la hauteur sont toujours adjacentes à l'angle droit. Ici, la base est le côté AB et la hauteur est le côté AC.
J'espère t'avoir aidé!
Lea-Kim
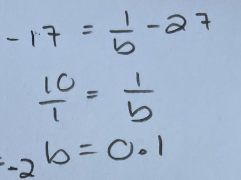
Re : Question
↓
« mais la réponse est b=0,1 a=-1 »
Si la base est 2 alors les deux règles sont équivalentes.
.
Re : Question
Allo MercureAutonome3615,
Merci pour ta question! Tu dois utiliser tes deux points pour trouver la règle de la fonction. Ensuite, tu pourras remplacer ton x par 14h pour avoir la potion.
Je te laisse une fiche pour t'aider: https://www.alloprof.qc.ca/fr/eleves/bv/mathematiques/les-fonctions-polynomiales-de-degre-0-et-1-affin-m1120
J'espère t'avoir aidé!
Lea-Kim
Re : Question
Bonjour!
Pour transformer km en mètre, il suffit de juste multiplier le chiffre par 1000. Ex:
54km x 1000 = 54 000m
CuriumLogique302 :D
Re : Question
Allo MercureAutonome3615,
Merci pour ta question!
Pour le cube, son côté est de 5 cm, le rayon de la boule sera donc de 2,5 cm. Pour trouver l'aire, tu dois donc calculer le volume de 5 faces du cube et additionner l'aire d'une demi-boule. Tu peux utiliser cette formule : $$ A=5c^2+ 2\pi r^2$$
J'espère t'avoir aidé!
Lea-Kim
Re : Question
Bonjour!
Nous avons justement une fiche sur le complément de phrase qui pourrait t'aider! La voici :
La fiche contient une section «Le repérage du complément de phrase». Elle explique les manipulations syntaxiques à faire pour repérer un complément de phrase. :)
Si tu as d'autres questions, n'hésite pas à nous réécrire. Nous te répondrons avec plaisir!
Laurie :)
Re : Question
Re salut!
Ton paramètre h est le bon, mais ce n'est pas comme ceci que l'on doit trouver la valeur du paramètre b.
En insérant notre paramètre h dans l'équation de forme
On obtient :
$$ y = log_{c}(b(x+27)) $$
Puis, on nous donne 2 points de la fonction, soit (-17, 0) et (13, -2). On peut alors les insérer dans notre règle afin d'obtenir les deux équations suivantes :
$$ 0 = log_{c}(b(-17+27)) $$
$$ -2 = log_{c}(b(13+27)) $$
On a 2 inconnus, soit c et b, et 2 équations. On peut alors résoudre un système d'équations pour trouver la valeur de ces inconnus. Consulte cette fiche au besoin : La méthode de comparaison | Secondaire | Alloprof
De plus, tu peux retrouver un résumé de la démarche à suivre pour trouver la règle d'une fonction logarithmique lorsqu'on a l'asymptote et 2 de ses points ici : Trouver la règle d'une fonction logarithmique | Secondaire | Alloprof
Je te laisse terminer. Si tu as d'autres questions, n'hésite pas à nous réécrire! :)
Re : Question
Bonjour!
Je ne connais pas le programme dans lequel tu veux étudier ni ta moyenne, mais je ne crois pas que ce soit fini pour toi. Continue à faire de ton mieux, à mettre des efforts! Les admissions fonctionnent en fonction du contingentement, donc du nombre de places disponibles vs. le nombre de personnes qui font une demande d'admission. Par exemple, les programmes préuniversitaires comme les sciences humaines et les sciences de la nature sont rarement contingentés, donc peu de gens sont refusés de ces programmes. :)
Je te suggère, pour être certain.ne de consulter le site du programme qui t'intéresse pour le Cégep qui t'intéresse. Il y a souvent des informations à ce sujet. :)
Laurie :)

