Liste de discussions
-
Vérifiée par Alloprof
Secondaire 5 • 3abonjour, si on melange 2 solutions de concentrations differentes, quelle sera la concentration de la solution résultante ?
-
Vérifiée par Alloprof
Secondaire 5 • 3aC’est quoi l’aire complète sous la courbe? Je sais que le morceau en mauve c’est toutes les particules qui ont assez d’énergie cinétique pour faire des collisions efficaces mais je ne suis pas sûr pour le total (partie blanche + partie mauve) Est-ce le nombre de particules au total ou la quantité d’énergie cinétique au total?
-
Vérifiée par Alloprof
Postsecondaire • 3aPouvez-vous m’aider à résoudre mon travail ,merci!
-
Vérifiée par Alloprof
Secondaire 1 • 3aAvez vous un astuce pour retenir les mélanges hétérogène et Homogène?
-
Vérifiée par Alloprof
Primaire 6 • 3aquelle matière peux être utiliser comme une cathode et anode c'est pour un projet a l'école
-
Vérifiée par Alloprof
Postsecondaire • 3amon cahier a pris fue hier soir est ma mére me blame quand sest ELLE qui avait pris la lapm a gas des SA chambre. pue importe, j'essaiy mintenant d'achéter le livre de Risques naturels par les éditions CEC.comment je fait, a présent?
-
Vérifiée par Alloprof
Secondaire 5 • 3aLe sujet en chimie en ce moment est la chaleur molaire d'une réaction chimique (titre du chapitre) et j'ai beaucoup de misère à différencier le delta H régulier au delta H de réaction. De plus, le vocabulaire me mélange. C'est quoi exactement la chaleur molaire? S'ils disent que la chaleur absorbée est de 25kJ, ca veut dire quoi exactement, etc. Merci!
-
Vérifiée par Alloprof
Secondaire 5 • 3aJe n'arrive pas à calculer la pression osmotique
-
Vérifiée par Alloprof
Secondaire 5 • 3aBonjour je suis en train de voir la notion des gaz, j'aimerais s'il vous plait savoir quelle est la différence entre l'effusion et la diffusion
merci de votre aide
-
Vérifiée par Alloprof
Secondaire 5 • 3aBonjour,
je ne sais pas comment calculer le kc dans ce cas
-
Vérifiée par Alloprof
Secondaire 3 • 3aBonjour, j'ai un devoir pour lundi, mais je ne sais pas comment le résoudre, quelqu'un pourrait m'aider s'il vous plait?
On a préparé 720 ml d'une solution en dissolvant 145 g d'éthanol. La masse de la solution obtenue est 681,5 g. Calcule la concentration de cette solution en % m/m, et en % m/v.
Merci
-
Vérifiée par Alloprof
Primaire 4 • 3asalut, j'ai rechercher sur Alloprof dans la section chimie mais il y a rien pour le primaire 4. j'adore faire des exeperience de chimie est-que vous en avez a me donner? mais je voudrais que se soive des experience qui font pas trop de dégat parce-que je fait sa dans une petite pièce.
merci a ceux qui peuve me répondre.
-
Vérifiée par Alloprof
Secondaire 5 • 3aBonjour j'ai besoin d'aide pour un exercice en chimie ou chaque fois que j'ai une réponse je dois appliqué la règle des chiffres significatifs. Habituellement je n'est pas de misère mais lorsque par exemple je fais 13,50x65,0 cela me donne 877,5 donc je ne sais pas comment appliqué la règle.
Merci de votre aide
-
Vérifiée par Alloprof
Secondaire 5 • 3asi j'ai un tableau avec des quantités de H2 en ml, mais que je les veux en nombre de moles, c'est quoi que je dois faire?Vu que c'est un gaz au lieu de l'eau, est-ce que je peux quand-même transformer les ml en g? On m'a dit que je devrait peut-être utiliser la farmule TAPN? Comment je fais ?
-
Vérifiée par Alloprof
Secondaire 5 • 3asi j'ai un tableau avec des quantités de H2 en ml, mais que je les veux en nombre de moles, c'est quoi que je dois faire?
-
Vérifiée par Alloprof
Secondaire 5 • 3abonsoir ,J'aimerais que vous m'expliquez les chiffres significatifs et les incertitudes j'arrive pas à les comprendre.
-
Vérifiée par Alloprof
Secondaire 5 • 3aBonjour, j'essaie de comprendre le numéro mais je n'y arrive pas. Dois-je utiliser une formule en particulier pour trouver une donnée que je vais trouve dans une autre formule?
Merci!
-
Vérifiée par Alloprof
Postsecondaire • 3aje ne comprend pas comment faire ce numéro
-
Vérifiée par Alloprof
Secondaire 5 • 3aBonjour, je me demandais comment faire ce numéro, j'ai beaucoup de difficulté et je suis allée voir les fiches Alloprof mais je ne comprends toujours pas.
merci!!
-
Vérifiée par Alloprof
Primaire 4 • 3asalut alloprof j'ai une question comment on fias de la slime s'il vous p'lais
-
Vérifiée par Alloprof
Secondaire 5 • 3aBonjour, je ne comprends pas comment trouver le Kc de la deuxième équation chimique. J’ai seulement la constante d’équilibre de la première.
-
Vérifiée par Alloprof
Secondaire 5 • 3aBonjour, j'aimerais savoir quels sont les indices observables qui nous permettrons de distinguer entre une réaction endothermique et exothermique ?
Merci !
-
Vérifiée par Alloprof
Secondaire 5 • 3aBonjour ,
J'ai un problème et je me demande si vous pouvez m'aider à le réaliser . il y a 20g de cuivre dans de l'eau à un température finale de 100 °C avec de l'alcool méthylique à un température finale de 30 °C. Si nous savons que la capacité thermique massique du cuivre est de 0.39Kj/Kg°C et celle de l'alcool méthylique de 2.58Kj/Kg°C est-il possible de trouver la température initiale de l'alcool méthylique? J'ai essayé à plusieurs reprises , mais je n'y arrive pas.. je sais que je dois utiliser la formule Q=mcdeltaT , mais je ne sais pas par où commencer.
Merci
-
Vérifiée par Alloprof
Secondaire 4 • 3aJ’essaye avec les formules que je connais de résoudre se problème mais je n’y arrive pas. Est-ce quelqu’un pourrait m’expliquer? Merci
-
Vérifiée par Alloprof
Secondaire 5 • 3aBonjour! Dans un systeme à l’équilibre H20s = 2H g + O g + 45 Kj, si la température descend est-ce que l’équilibre reste inchangé vu que le H2O des reactifs est un solide?
-
Vérifiée par Alloprof
Secondaire 5 • 3aBonjour j'ai une question en Chimie, j'aimerais savoir pourquoi dans cette exercices la réponse est C alors que l'on dit que lorsque la masse molaire est plus élevée la vitesse est faible, selon moi la réponse serait B
merci de votre aide
-
Vérifiée par Alloprof
Secondaire 5 • 3abonjour, comment peut on déterminer le nombre de mole d'un atome dans un composé chimique d'ont on a la masse?
-
Vérifiée par Alloprof
Secondaire 5 • 3aBonjour! je suis en train de faire un exercice sur les gaz en chimie où je dois identifier des description est dire si c'est un phénomène naturelle, une application technologique ou autre si il n'y a pas de gaz. J'ai consulté le site d'allo prof où l'on en parle mais il y a un énoncé que n'arrive pas a classé, "des batteries alimentent le circuit électrique d'une voiture".
Merci de votre aide
-
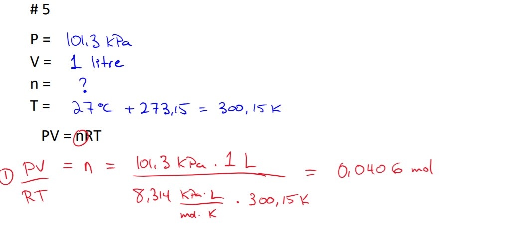
Vérifiée par Alloprof
Secondaire 5 • 3aBonjour , je voudrais savoir comment trouver en mol par litre 0,05 gramme de magnésium dans 0,02mol/litre de HCl. c'est pour trouver le rapport de concentration du morceau de magnésium qui est de 0,05 gramme dans les deux test que nous avons fait la seul choses qui est différente est le volume du HCl qui est pour le premier 0,02mole/litre et pour le deuxième 0,04mole/litre.
-
Vérifiée par Alloprof
Secondaire 2 • 3apourquoi utilise t-on le terme "moléculaire" pour décrire les liaisons dans un compose moléculaire?










