Liste de discussions
-
Vérifiée par Alloprof
Secondaire 3 • 3aBonjour!
Dans le problème ci-dessous je ne comprends pas si je dois trouver le volume des 15 bacs de sable. Si oui, comment ? * L'exercice est en lien avec la conservation de la matière * Merci d'avance pour votre aide :)
-
Vérifiée par Alloprof
Secondaire 1 • 3aBonjour
j'ai une examen bientôt sur les angles et découvrir les angles manquantes.
je me demandais si vous aurez une fiche sur cela-.
-
Vérifiée par Alloprof
Secondaire 3 • 3aSalut,
J aimerai savoir si vous avez une fiche à propos du nombre d'or ?
Merciii!!
-
Vérifiée par Alloprof
Secondaire 3 • 3aBonjour!
Dans le problème ci-dessous je n'arrive pas à trouver le rayon. Je suis un peu mêlée dans mes démarches. Pourriez-vous m'aider ? Merci d'avance :)
-
Vérifiée par Alloprof
Secondaire 4 • 3aBonjour vous pouvez me corrigez ces 2 exercice svp
merci d’avance
-
Vérifiée par Alloprof
Secondaire 1 • 3aBonjour svp j'ai un problème des triangles les types, pouvez-vous m'aider
-
Vérifiée par Alloprof
Primaire 5 • 3aAvez vous des truc pour apprendre nos tables de multiplication par coeur?
-
Vérifiée par Alloprof
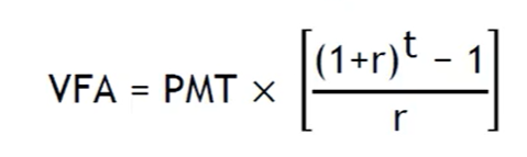
Postsecondaire • 3aje ne me souviens plus comment calculer un (exposant) (vue au secondaire il y a plus de 10 ans)
exemple; (1 + 1.2%)exp5
en réalité la formule est plus complexe il s'agit de capitaliser une annuité en finance et c'est l'exposant dont je ne me souvient plus;est-ce possible d'aussi avoir la formule pour utiliser Excel aussi?
Merci
-
Vérifiée par Alloprof
Secondaire 1 • 3aj'aimerais en savoir plus sur les angles et les degré et leur catégorie? Merci😁😁
-
Vérifiée par Alloprof
Secondaire 2 • 3aBonjour,
Nous avons commencé à calculer l’aire des polygones réguliers. Mais je ne comprends toujours pas comment le trouver. Aussi, qu’est-ce que l’apothême? Quelqu’un pourrait m’aider svp?
-
Vérifiée par Alloprof
Primaire 5 • 3aComment on fait pour résoudre multiplication de fraction
est-ce que vous pouvez m’aider
svp
-
Vérifiée par Alloprof
Secondaire 4 • 3aBonjour, pouvez-vous me dire si la démarche de ces problèmes de géométrie analytique est bonne?
Merci, mille fois, et bonne journée.
-Loïc Dupuis, élève de secondaire 4 en math CST
-
Vérifiée par Alloprof
Primaire 2 • 3aBonjour,
Il n'y a pas longtemps, ma professeure m'a parlée de multiplication, mais je ne suis pas sur de comprendre.
-
Vérifiée par Alloprof
Secondaire 2 • 3abonsoir, je voudrais savoir comment on a connue la valeur de pi (π)
-
Vérifiée par Alloprof
Secondaire 2 • 3aLes moyens des communications électroniques (cellulaire, Internet...) semblent être présents dans les différents pays (riches, développés, en voie de développement et pauvres), mais ceci n’est pas observable pour les modèles mathématiques développés par la recherche scientifique de certains pays riches pour les différents domaines (scientifiques, techniques, économiques et sociaux...), et ce, depuis plusieurs siècles (le secrets scientifique). Penses-tu que si ceci a eu lieu le monde dans sa globalité serait développé? (Donne deux arguments).
-
Vérifiée par Alloprof
Secondaire 2 • 3aL’apprentissage de la science est très coûteux (des laboratoires, du matériel : ordinateurs, des matériaux, des publications de la communauté scientifique, des enseignants bien formés par domaine...), Comment faire pour aider les pays en voie de développement et pauvres à y avoir accès du moins partiellement?
-
Vérifiée par Alloprof
Secondaire 3 • 3aBonjour,
Je veux savoir si je trouve la règle, je devrais utiliser l’année comme elle a été donnée (2013,2014...)ou je devrais simplement utiliser 13,14...Merci
-
Vérifiée par Alloprof
Secondaire 3 • 3aBonjour,
S'il vous plaît, comment je fais cette question?Merci.
-
Vérifiée par Alloprof
Postsecondaire • 3aJe suis bloquer sur ce problème j’ai factorisée l’expression du volume de mon prisme ce qui m’a donner -2(2x-7)(4x-9)(x-10) mais je ne sais plus quoi faire pour résoudre ce problème
-
Vérifiée par Alloprof
Secondaire 3 • 3aBonjour,
Je voudrai savoir comment je fais pour placer des fractions dans un plan cartésien. Es ce que je transforme la fraction en nombre décimal et je le place dans le plan cartésien?
Par exemple on me demande de placer ( -1, -3/2)
Merci
-
Vérifiée par Alloprof
Secondaire 5 • 3aBonjour,
je ne comprends pas comment résoudre ce probème.
Le corrigé: tan t>0
je sais que tan t = sin t / cos t donc le rapport doit ¸etre plus petite que 0 non?
Merci,
-
Vérifiée par Alloprof
Secondaire 1 • 3aJe ne comprend pas l’addition de fractions , svp aidez moi!
-
Vérifiée par Alloprof
Primaire 5 • 3abonjour, je ne comprend pas vraiment c'est quoi des nombres carrés et des nombres composé. Pouriez vous m'aider a comprendre un peu mieu?
-
Vérifiée par Alloprof
Secondaire 1 • 3aJ’ai beaucoup besoin d’aide en math, le multiplication de fractions, division de fraction, multiplication de nombres décimaux et division de nombres décimaux !!!
-
Vérifiée par Alloprof
Secondaire 4 • 3aBonjour vous pouvez m’aider à faire cette exercice s’il vous plaît merci beaucoup
-
Vérifiée par Alloprof
Secondaire 1 • 3aComment calculer la fraction irréductible?
-
Vérifiée par Alloprof
Primaire 4 • 3aBonjour, j'aimerais bien savoir si on peut m'aider sur c'est quoi un polyèdre
Merci
-
Vérifiée par Alloprof
Secondaire 1 • 3aj'ai trop de la difficulté avec la multiplication de fractions de secondaire 1. aidez moi a le résoudre svp.
-
Vérifiée par Alloprof
Secondaire 1 • 3aBonjour, j'aimerais savoir comment on fais pour calculer la mesure extérieur d'un polygone irrégulier! Merci
-
Vérifiée par Alloprof
Primaire 6 • 3aBonjour je voudrais savoir comment on fait les math de a+a=?












