Liste de discussions
-
Vérifiée par Alloprof
Primaire 4 • 3abonjour je ne comprend pas ce problem, quelqu’en peut m’aider svp?😩
-
Vérifiée par Alloprof
Secondaire 3 • 3aJ’ai un exercice de math et je dois trouver f(x). Mes infos sont à partir d’une droite illustrée dans un tableau: a = 5-1/7-(-7) ou (1,-7) et (5,7). Je me souviens comment trouver la variation, mais pas f(x). Est-ce possible de m’aider? Je dois revoir ma notion en détails pour bien comprendre si possible.
J’ai regardé des vidéos sur le web, mais je ne les comprends pas en fonction de mon problème. Merci
-
Vérifiée par Alloprof
Secondaire 4 • 3acomment appliquer le théorème de la projection de la cathète sur l'hypoténuse avec une formule algébrique plutôt qu'un nombre entier
-
Vérifiée par Alloprof
Secondaire 4 • 3aSa donne combien x-(1/x)
j’ai trouvé (x-1)
-
Vérifiée par Alloprof
Secondaire 5 • 3aQu'est-ce que je devrais faire d'ici?
-
Vérifiée par Alloprof
Secondaire 4 • 3aBonsoir,
Voici la table de valeurs d'une fonction quadratique.Quelle est la valeur du paramètre "a" dans la règle exprimée sous la forme canonique?
Ma réponse est que le paramètre "a" vaut 1/3. Mais le corrigé du manuel (Intersection Manuel A, Éditions Chenelière, p. 137) m'indique que "a" vaut 2/3...
J'aurais besoin d'aide pour trouver mon erreur.
Merci!
-
Vérifiée par Alloprof
Secondaire 3 • 3aBonsoir !
Je suis en secondaire 3 et bientôt je vais devoir faire le choix entre les mathématiques TS ou SN. Je sais que l'on apprend la même matière, mais de façon différente, pourtant j'aimerais savoir comment les exercices faits en SN diffèrent de ceux en TS et à quoi ils ressemblent.
Merci beaucoup pour votre aide
-ChloreOmicron2428
-
Vérifiée par Alloprof
Primaire 5 • 3ase quoi un division conventionnelle
-
Vérifiée par Alloprof
Secondaire 1 • 3abonjour, je ne comprend pas comment faire des chaines d'opérations avec fraction, pourcentage, exposants et fraction négative. avez-vous des exercices a me conseiller ?
Merci et bonne soirée.
-
Vérifiée par Alloprof
Secondaire 3 • 3aComment fais-t-on 2/3 exposant -1?
-
Vérifiée par Alloprof
Secondaire 2 • 3aComment fait-on pour calculer l'aire de ses figures?
-
Vérifiée par Alloprof
Primaire 4 • 3aDans météoremap2 comment peu ton mettre
tout les division :)
-
Vérifiée par Alloprof
Secondaire 4 • 3aBonsoir,
Si, dans une table de valeurs, les accroissements de la variable dépendante sont constants pour les deux niveaux, la fonction polynomiale est-elle de degré 1 ou 2?
Et pourriez-vous joindre les liens de fiches Alloprof traitant du sujet dans votre réponse, si elles existent?
Merci!
-
Vérifiée par Alloprof
Primaire 6 • 3aBonjour, je ne comprend pas bien cette résolution de problème suivante:
Xavier lance sa balle à 5 reprises.
Voici la longueur de ses 4 premiers lancers:
15 mètres,23 mètres,18 mètres et 19 mètres.
Quelle est la longueur de son 5e lancer si la moyenne de la longueur de tous les lancers est de 18 mètres ?
Merci beaucoup de me donner quelques explication ce serer très appréciable de votre pars :)
-
Vérifiée par Alloprof
Secondaire 3 • 3aJe croupis dans l'incompréhension face aux exercices suivants.Pour le premier, j'ai été capable de déterminer que ces cinq acolytes seraient en mesure de transporter une pile de caisses en un peu plus de 26 minutes. Or, la question demande de trouver «combien de temps faudrait-il pour transporter les piles de caisses», sous-entendant qu'il y en a un nombre précis, ce que je ne vois pas. Comment répondre à la question ?
Pour le second, il est indiqué que les deux nageurs se croisent une première fois à 19 mètres de la partie peu profonde pour ensuite prendre une pause de 10 secondes, puis se croiser une seconde foies à 7 mètres de la partie profonde. Je ne vois pas comment déterminer la longueur de la piscine avec seulement cette variable, qui est extrêmement incertaine considérant qu'on ne connaît pas la longueur de la piscine. Comment la déterminer ?
Merci de votre aide
-
Vérifiée par Alloprof
Primaire 6 • 3acomment multiplier des fractions
-
Vérifiée par Alloprof
Secondaire 1 • 3aJe ne comprend pas bien
-
Vérifiée par Alloprof
Secondaire 4 • 3aQuel calcul que je dois faire pour trouver réponse à ce numéro? Numéro 8
-
Vérifiée par Alloprof
Primaire 6 • 3aComment fonctionne les divisions à crochet?
-
Vérifiée par Alloprof
Primaire 5 • 3aPourriez vous me dire comment résoudre cette question. j'en n'est besoin pour un examen. c'est une pratique.
-
Vérifiée par Alloprof
Primaire 6 • 3abonjour je cherche de l'information explicative sur la moyenne et des exercises merci!
-
Vérifiée par Alloprof
Secondaire 1 • 3aje ne comprends pas cette exercice. Aider moi
-
Vérifiée par Alloprof
Primaire 5 • 3asa donne combien 248 x 0,542 3) c'est un profs qui ma donner ce calcule svp.
-
Vérifiée par Alloprof
Secondaire 4 • 3aDans mon corrigé ils disent que la pente de la droite d2 est 2, mais je ne comprends pas parce que la pente de la droite d1 = -0,5 comment ils ont pus en venir à 2?
-
Vérifiée par Alloprof
Primaire 1 • 3a2+2? ça fais combien
-
Vérifiée par Alloprof
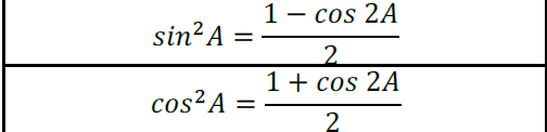
Secondaire 5 • 3aBonjour,
Est-ce que quelqu'un peut m'expliquer avec les démarches ces 2 identités?
C'est un numéro bonus, puis mon prof ne veut pas m'aider car il n'est pas à faire :/
-
Vérifiée par Alloprof
Primaire 5 • 3aallo j,aurais une question sur mon devoir de math sa me dit combien d'eleve participe au telejournal le pourcentage du telejournal est de 40 pourcent et il a 50 eleve venez maider svp je comprend rien
-
Vérifiée par Alloprof
Postsecondaire • 3aJe n'arrive pas à calculer des équations polynomiales du troisième degré sans utiliser la formule quadratique.
Par exemple:
2x^2 - 68x - 28 705 = 0
-
Vérifiée par Alloprof
Primaire 6 • 3abonjour pouvez vous me donner un site pour pratiquer mes math avec les fractions et nombre décimaux un site non payable s.v.p merci réponder moi vite 😫😫












