Liste de discussions
-
Vérifiée par Alloprof
Primaire 5 • 2aescuse moi de vous deranger, ils sont où les fiches des piorités des opérations ??
-
Vérifiée par Alloprof
Secondaire 5 • 2aEst-ce quelqu'un put m'auder sur center question, je suis en math sn sec 5
-
Vérifiée par Alloprof
Secondaire 4 • 2aSalut!
J'aimerai savoir si vous avez un fiche avec des animations (comme pour les fiches sur les fonctions) sur la variation des mesures des cotes et des angles dans un triangle rectangle en lien avec les rapports trigonométriques ( comme pour les fiches des fonctions)
Par exemple qu'arrive t-il à au sinus de l'angle A , si la valeur de l'angle A augmente ... ?
Merci!
-
Vérifiée par Alloprof
Primaire 6 • 2aSamira plante 42 arbres. Le tiers des arbres sont des bouleaux, les deux sixièmes sont des érables, les deux septièmes sont des épinettes et le reste est composé de peupliers. Combien d'arbre de chaque essence Samira a-t-elle plantés ?
J'ai besoin d'aide. Je ne comprends pas bien les fractions.
-
Vérifiée par Alloprof
Secondaire 3 • 2aBonjour, y a un problème mathematiques que je comprends pas: Deux cyclistes roulent dans la même direction à des vitesses respectives de 30 km/h et de 33 km/h. Le second cycliste traverse une voie ferrée à 15 h 20, soit exactement 2 minutes après le premier. de 33 km/h. Combien de temps après avoir traversé la voie ferrée les cyclistes seront-ils côte à côte ?
-
Vérifiée par Alloprof
Secondaire 2 • 2aLe problème c'est que je ne sais pas faire la suite car il y a des variables après= et pouvez vous me montrer la suite. Merci parce que je suis mélangé
-
Vérifiée par Alloprof
Secondaire 5 • 2aComment trouver les coordonnées du point d’intersection de deux droites?
-
Vérifiée par Alloprof
Secondaire 2 • 2a6y=4y+12 qu'est ce que je peux faire avec le égal 6y=
-
Vérifiée par Alloprof
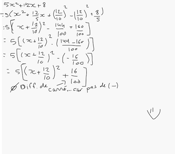
Secondaire 4 • 2aSalut!
En réponse à;Voilà;Ce que j ai fait à la ligne 4 ... soit le -( 144/100 - 160/100 )
Je peux le faire ?
Puis, cette expression n'est pas factorisable .. ?
merciii
-
Vérifiée par Alloprof
Secondaire 3 • 2aBonsoir,
Lorsqu'il s'agit de trouver le volume des solides décomposables ,j'ai toujours de la difficulté à savoir quelles faces du solide doit -on calculé. Comment peut-on faire la différence ?
Merci !
Bonne soirée !!
-
Vérifiée par Alloprof
Primaire 4 • 2achercher le X
f(x) x²+ 8x+9
-
Vérifiée par Alloprof
Primaire 6 • 2aSur le dos de mon génial âne que voici, j'avais noté unesuitedenombresdonnant le compte de mes récoltes de laituesannéeaprèsannée. C'est avec ces laitues que je nourrissais mes lapins. Les récoltes suivaient une certainerégularité, mais j'en ai perdu quelquesnombres... Je ne me souviens plus que de ces derniersnombres:7, 38, 219, 1300, ...Mon âne croyait que la séquence allait comme suit :7, 38, 219, 1300, 219, 38, 7, 38, ...S'il araison, quel devrait être le prochainterme?219a)SolutionIndice:Lasuitedenombresdans la séquence se répète.En y réfléchissant bien, ça me revient... Je crois que larègleprenait la formemathématiqueden+ 6n, oùnest le rang duterme.Dans ce cas, si mes quatre premiersnombressont7, 38, 219 et 1300.Quel est le 6eterme?
-
Vérifiée par Alloprof
Primaire 6 • 2a -
Vérifiée par Alloprof
Secondaire 5 • 2aBonjour!
C'est quoi les restriction et les caractéristiques de la variable ''c'' dans une fonction exponentielle?
-
Vérifiée par Alloprof
Primaire 4 • 2aRe-bonjour alloprof, est-ce qu'il y a des exsercises sur le diagramme à bandes et le diagramme à linge brisée?
Merci beaucoup !!
-
Vérifiée par Alloprof
Primaire 4 • 2aBonjour alloprof, je ne comprends pas c'est quoi le diagramme à bandes et le diagramme à linge brisée?
Merci !!
-
Vérifiée par Alloprof
Primaire 6 • 2aen Mathématique j'ai beaucoup de difficulté avec les fractions surtout dans les résolutions de problèmes. Je suis en 6e années.
-
Vérifiée par Alloprof
Secondaire 3 • 2aBonjour, je n’ai pas compris cette question.Puis-je avoir une explication à comment le résoudre?
-
Vérifiée par Alloprof
Primaire 6 • 2aJ'aimerais avoir plus d'information par rapport au système hexadécimal et savoir mieux comment compter en base 12 j'ai déjà consulter cette fiche :https://www.alloprof.qc.ca/fr/eleves/bv/mathematiques/les-systemes-de-numeration-m1099avez-vous plus d'info? Merci d'avence!
-LynxKappa7659
-
Vérifiée par Alloprof
Secondaire 5 • 2aBonsoir, j'avais deux questions concernant ce numéro. D'abord pour le premier je crois bien être arrivé à un résultat, mais je suis incapable de donner une réponse dans l'intervalle demander. Pour la question b, je n'arrive pas à une solution; pourriez-vous me guider vers une piste ? merci
-
Vérifiée par Alloprof
Secondaire 2 • 2aJ'ai une surprise pour vous
-
Vérifiée par Alloprof
Secondaire 2 • 2aPas la peine c'est pas grave 🙏 pour le moment je réfléchis et je dis merci vos vidéos je ne vais pas me stresser je vous soutiens
-
Vérifiée par Alloprof
Secondaire 2 • 2aAllôprof je suis allé sure fichier précédent je n'ai pas trouvé ce genre type de numéro qui comporte 3 nombre comme 2x+3=13
-
Vérifiée par Alloprof
Secondaire 2 • 2aAllô prof c'est vrai mais c'est autre il n'y a de nombre manquant
-
Vérifiée par Alloprof
Secondaire 4 • 2aBonjour ! Je suis parvenu à résoudre le problème en trouvant le x avec une méthode que j'ai mise en pièce jointe. Pouvez-vous m'aider avec la question b) s'il vous plaît ? Merci !
-
Vérifiée par Alloprof
Secondaire 2 • 2aBonjour alloprof il y a un problème 11+6x=23 pouvez vous me montrer comment résoudre le problème et même la validation. Je m'intéresse sur la validation car je commence à être tracasser
-
Vérifiée par Alloprof
Secondaire 4 • 2aBonjour ! J'ai pu résoudre le problème en trouvant le x avec une méthode que j'ai mise en peice jointe. Cependant, on me demande de trouver une autre méthode pour le résoudre. Est-ce que vous pouvez m'aider s'il vous plaît ?
Merci!
-
Vérifiée par Alloprof
Primaire 4 • 2aEst-ce que 100 x 100 ça donne 10000
-
Vérifiée par Alloprof
Primaire 5 • 2aJ'ai de la difficulté a utiliser mon raporteur d'angle pour mesurer des angles de triangles quelqu'un peut m'aider
-
Vérifiée par Alloprof
Secondaire 1 • 2ac'Est quoi unefraction











