Skip to content

Zone d’entraide

Question de l’élève

Secondaire 5 • 1a

calculer l'accélération par rapport à l'inverse du multiple de la masse du chariot?

un chariot de 199,87g, on suspend une masse de 50g puis on démarre le chronomètre à étincelle et laiser le chariot se mouvoir.

Comment puige faire mon calcule?

Physique
avatar
avatar

{t c="richEditor.description.title"} {t c="richEditor.description.paragraphMenu"} {t c="richEditor.description.inlineMenu"} {t c="richEditor.description.embed"}

Explications (2)

  • Explication d'Alloprof

    Explication d'Alloprof

    Cette explication a été donnée par un membre de l'équipe d'Alloprof.

    Options
    Équipe Alloprof • 1a

    Salut LucioleMagnifique561,

    Merci pour ta question!

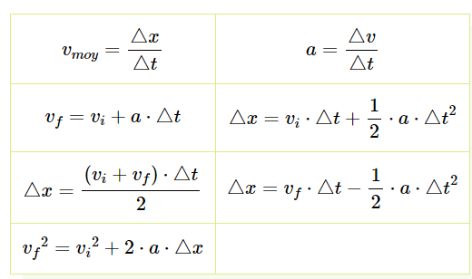
    Si tu cherches l'accélération de ton chariot, tu peux utiliser les formules du MRUA. Les voici :

    image.png

    Dans ton énoncé, tu retrouves différentes informations que tu peux appliquer dans ces formules. Il te faut trois valeurs pour utiliser l'une de ces formules.

    Je te laisse trouver ces trois informations et choisir la bonne formule !

    Voici notre fiche sur le MRUA si tu veux en savoir plus à ce sujet :

    J'espère que ça t'aide et n'hésite pas à nous réécrire si tu as d'autres questions!

    Anthony B.

  • Explication d'un(e) pro de la Zone d'entraide Explication d'un(e) Pro

    Explication d'un(e) pro de la Zone d'entraide

    Tu peux faire confiance à cette explication, car elle est donnée par une personne identifiée comme étant fiable par Alloprof.

    Options
    Pro de la zone d’entraide • 1a

    Bonjour LucioleMagnifique561.

    Merci d'avoir utilisé la zone d'entraide pour ta question.

    Je ne comprends pas ce que tu veux dire par ''l'inverse du multiple de la masse du chariot''. Si tu veux calculer l'accélération du chariot, commence par trouver la force gravitationnelle donnée par la masse en faisant Fg = m X g. Ensuite, Fg est la seule force (s'il n'y a pas de frottement), tu peux donc utiliser la deuxième loi de Newton pour trouver l'accélération. N'oublie pas de convertir tes masses en kg

    Voici deux fiches qui pourraient t'être utiles:

    https://www.alloprof.qc.ca/fr/eleves/bv/physique/la-force-gravitationnelle-p1019

    J'espère t'avoir aidé,

    MarsPragmatique7170.

Poser une question