Skip to content

Zone d’entraide

Question de l’élève

Secondaire 5 • 1a

C’est quoi la différence entre une réaction inverse et directe?

Par exemple dans mon cahier j’ai des exercices à faire. La question est «Indiquez dans quel sens (direct ou inverse) cet équilibre se déplacera à la suite de chacune des modifications suivantes.»

le premier exemple est:

a) Augmentation de la concentration de vapeur d’eau.

Donc est-ce inverse ou direct?

Chimie
avatar
avatar

{t c="richEditor.description.title"} {t c="richEditor.description.paragraphMenu"} {t c="richEditor.description.inlineMenu"} {t c="richEditor.description.embed"}

Explications (1)

  • Explication d'Alloprof

    Explication d'Alloprof

    Cette explication a été donnée par un membre de l'équipe d'Alloprof.

    Options
    Équipe Alloprof • 1a

    Bonjour OrAgile,

    Merci pour ta question!

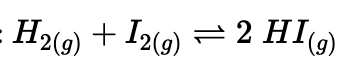
    Voici un exemple de réaction réversible:

    image.png

    Ici, la réaction directe est H2 + 12 -> 2 HI (réactifs -> produits). La réaction inverse sera le contraire: 2 HI -> H2 + I2 (produits -> réactifs).

    Lorsqu'on change les paramètres d'une réaction, comme la concentration de produits ou de réactifs, l'équilibre sera déplacé.

    C'est le principe de Le Chatelier qui permet de déterminer dans quel sens la réaction sera favorisée (directe ou indirecte). Tu trouveras les explications à ce sujet juste ici:

    N'hésite pas si tu encore besoin d'aide:)

    Kylan

Poser une question