Skip to content

Zone d’entraide

Question de l’élève

Secondaire 5 • 1a

comment calculer l’accélération si on a plusieurs donnée de vitesse, de temps et de position?

Physique
avatar
avatar

{t c="richEditor.description.title"} {t c="richEditor.description.paragraphMenu"} {t c="richEditor.description.inlineMenu"} {t c="richEditor.description.embed"}

Explications (1)

  • Explication d'Alloprof

    Explication d'Alloprof

    Cette explication a été donnée par un membre de l'équipe d'Alloprof.

    Options
    Équipe Alloprof • 1a June 2024 modifié

    Salut!


    En fait, l'accélération, tout comme la vitesse et la position, peut varier avec le temps.

    Ainsi, on a les fonctions \(a(t)\) qui représente l'accélération en fonction du temps, \(v(t)\) la vitesse en fonction du temps, et \(x(t)\) la position en fonction du temps.

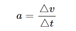
    Si l'accélération est constante, donc si tu as un mouvement rectiligne uniformément accéléré (MRUA), alors tu peux utiliser cette formule :

    image.png


    Sinon, si l'accélération varie en fonction du temps, tu dois utiliser la règle de la fonction \(a(t)\) pour calculer l'accélération à un moment \(t\) précis. Par exemple, si \(a(t)=2t+5\), alors l'accélération à l'instant t=5 secondes est de :

    $$ a(5) = 2(5)+5=10+5=15 ~m/s^2$$


    J'espère que c'est plus clair pour toi! :)

Poser une question