Ce contenu est protégé par le droit d'auteur. Toute reproduction à l'extérieur des forums Alloprof est interdite et pourra être considérée comme une violation du droit d'auteur.
Pour la question a), tu dois isoler t dans l'équation pour pouvoir exprimer t en fonction de y. Pour cela, tu peux déplacer y de l'autre côté de l'équation pour avoir 0 d'un côté :
Ce contenu est protégé par le droit d'auteur. Toute reproduction à l'extérieur des forums Alloprof est interdite et pourra être considérée comme une violation du droit d'auteur.
Pour la question b), tu n'as qu'à remplacer chaque variable par la valeur donnée, dans l'équation initiale ou l'équation trouvée en a), puis calculer \(t\).
Explication d'Alloprof
Cette explication a été donnée par un membre de l'équipe d'Alloprof.
Salut!
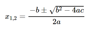
Pour la question a), tu dois isoler t dans l'équation pour pouvoir exprimer t en fonction de y. Pour cela, tu peux déplacer y de l'autre côté de l'équation pour avoir 0 d'un côté :
$$ 0 = (\frac{a}{2}) t^2 + (b)t + (c -y)$$
Puis utiliser la formule quadratique :
Ce contenu est protégé par le droit d'auteur. Toute reproduction à l'extérieur des forums Alloprof est interdite et pourra être considérée comme une violation du droit d'auteur.
Pour la question b), tu n'as qu'à remplacer chaque variable par la valeur donnée, dans l'équation initiale ou l'équation trouvée en a), puis calculer \(t\).
Finalement, pour le c), tu dois trouver le sommet de la parabole \(y= \frac{a}{2}t^2 + bt +c \). Pour cela, tu peux transformer la forme générale en forme canonique, puis identifier le paramètre h. Voici une fiche qui pourrait t'être utile : Les formes d'écriture de la fonction polynomiale de degré 2 | Secondaire | Alloprof
J'espère que cela t'aide! :)
Suggestions en lien avec la question
Suggestion en lien avec la question
Voici ce qui a été trouvé automatiquement sur le site, en espérant que ça t’aide!