Secondaire 5 • 1a
J’ai un problème dans mon cahier d’activités qui est cela : un récipient de 22,0 L contient 22g de propane à 185 kpa. Quelle est la température de ce gaz en degrés Celsius?
Quel formule je doit utiliser pour se calcul ?
Explication d'Alloprof
Cette explication a été donnée par un membre de l'équipe d'Alloprof.
Salut!
Tu dois utiliser la formule de la loi des gaz parfaits :
Ce contenu est protégé par le droit d'auteur. Toute reproduction à l'extérieur des forums Alloprof est interdite et pourra être considérée comme une violation du droit d'auteur.
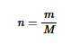
Pour trouver la quantité de gaz en mole, tu dois trouver la masse molaire du propane à l'aide du tableau périodique, puis utiliser cette formule :
Ce contenu est protégé par le droit d'auteur. Toute reproduction à l'extérieur des forums Alloprof est interdite et pourra être considérée comme une violation du droit d'auteur.
Si tu as d'autres questions, on est là! :)
Suggestions en lien avec la question
Suggestion en lien avec la question
Voici ce qui a été trouvé automatiquement sur le site, en espérant que ça t’aide!