Secondaire 5 • 9m
Bonjour, est-ce que vous pouvez m’aider à résoudre ces équation? La solution est entre [0, 2pi).
Bonjour, est-ce que vous pouvez m’aider à résoudre ces équation? La solution est entre [0, 2pi).
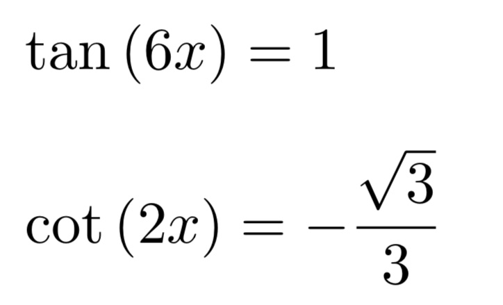
tan (6x) = 1
comme tan (angle) = sin (angle)/cos(angle)
c'est donc lorsque sin (angle) = cos (angle) que la fonction tangente de cet angle vaut 1
Ce contenu est protégé par le droit d'auteur. Toute reproduction à l'extérieur des forums Alloprof est interdite et pourra être considérée comme une violation du droit d'auteur.
si tu regardes le cercle trigonométrique, l'angle pour lequel ça arrive est donc π/4 (mais aussi 5π/4) et comme la période de la fonction tangente est de π, l'angle couvrant toute les possibilités est π/4 ± nπ pour n = 0, 1, 2, .... (incluant le 5π/4)
comme l'angle = 6x cela signifie pour x que
x = (π/4 ± nπ)/6
maintenant on te demande les valeurs de x telles que 0≤x<2π
donc on ne regardera pas les valeurs négatives de nπ
(π/4 + 0·π)/6 = π/24 < 2π
(π/4 + 1·π)/6 = (π/4 + 4π/4)/6 = 5π/24 < 2π
.....
Explication d'Alloprof
Cette explication a été donnée par un membre de l'équipe d'Alloprof.
Salut AdorableApatosaurus7671 😁
Merci pour ta question!
Pour la première, tu peux faire tan-1 (ou arctan, ce sont des synonymes) de 1, puis diviser par 6 pour obtenir ta valeur de x.
Pour la deuxième, transforme d'abord cot en 1/tan, et tu pourras faire tan-1 éventuellement.
Ce contenu est protégé par le droit d'auteur. Toute reproduction à l'extérieur des forums Alloprof est interdite et pourra être considérée comme une violation du droit d'auteur.
Pour réviser la méthode de la balance (isolation de la variable) pour les identités trigos, c'est par ici.
Dis-nous si cette deuxième équation te pose toujours problème, je te laisse d'abord essayer l'isolation. 😊
À bientôt sur la Zone d'entraide! 😎
Suggestions en lien avec la question
Suggestion en lien avec la question
Voici ce qui a été trouvé automatiquement sur le site, en espérant que ça t’aide!