Skip to content

Zone d’entraide

Question de l’élève

Secondaire 4 • 9m
image.png

Bonjour

Je n'arrive pas à comprendre le résonnement de cette situation-problème. J'aimerais que vous m'expliquez le sens du contexte.

Mathématiques
avatar
avatar

{t c="richEditor.description.title"} {t c="richEditor.description.paragraphMenu"} {t c="richEditor.description.inlineMenu"} {t c="richEditor.description.embed"}

Explications (2)

  • Options
    9m


    Comme tu veux connaître les mesures du ∆AOC, tu as d'abord besoin de connaître les coordonnées de C

    Tu peux trouver C en utilisant

    • le fait que la berge sud a la même pente que la berge nord et que tu connais A, pour déterminer la droite BA
    • le fait que BE est perpendiculaire à BA et que tu connais E pour trouver l'équation de la droite BE
    • le fait que B est l'intersection de BE et BA pour trouver ses coordonnées
    • le fait que C partage le segment BA dans un rapport 3:2 à partir de B pour déterminer les coordonnées de C

    ensuite détermine les mesures du ∆AOC puis la formule de Héron pour trouver son aire

  • Explication d'Alloprof

    Explication d'Alloprof

    Cette explication a été donnée par un membre de l'équipe d'Alloprof.

    Options
    Équipe Alloprof • 9m

    Salut!


    On veut trouver le nombre d'emplacements de camping que l'on peut installer dans le triangle AOC (qui est le terrain de camping).

    Donc, tu dois trouver la superficie du triangle AOC, puis la diviser par la superficie d'un emplacement (35 m²) pour obtenir le nombre d'emplacements que l'on peut avoir dans ce triangle.

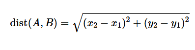
    Pour trouver l'aire du triangle AOC, tu peux utiliser la formule de Héron et la formule de la distance entre deux points :

    image.png
    image.png


    Je te laisse essayer avec ces indices. Reviens nous voir si tu as de la difficulté à débuter l'exercice! :)

Poser une question