Secondaire 5 • 7m
Bonjour,
Est ce que cette formule marche en chute libre? t= racine carré de 2h sur g.
Merci.
Bonjour,
Est ce que cette formule marche en chute libre? t= racine carré de 2h sur g.
Merci.
Explication d'Alloprof
Cette explication a été donnée par un membre de l'équipe d'Alloprof.
Bonjour OpaleTurquoise456,
Merci pour ta question :)
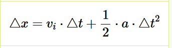
La formule est effectivement applicable à une situation de chute libre avec condition que l'objet tombe à partir du repos (vitesse initiale = 0 m/s) et que le mouvement vertical est vers le bas. Ça provient de la formule MRUA suivante:
Ce contenu est protégé par le droit d'auteur. Toute reproduction à l'extérieur des forums Alloprof est interdite et pourra être considérée comme une violation du droit d'auteur.
Si la vitesse initiale est nulle, on peut remplacer delta x par h (la hauteur est la distance parcourue) et a par g (puisqu'il s'agit d'une chute libre sur Terre). En isolant t, on arrive à ta formule!
N'hésite pas si tu as d'autres questions :)
Sandrine
Suggestions en lien avec la question
Suggestion en lien avec la question
Voici ce qui a été trouvé automatiquement sur le site, en espérant que ça t’aide!