Secondaire 5 • 4a
Bonjour,
Est-ce que l'image par rapport au sommet additionner au foyer par rapport au sommet nous donne l'image par rapport au foyer?
Merci et bonne journée! :)
Bonjour,
Est-ce que l'image par rapport au sommet additionner au foyer par rapport au sommet nous donne l'image par rapport au foyer?
Merci et bonne journée! :)
Explication d'Alloprof
Cette explication a été donnée par un membre de l'équipe d'Alloprof.
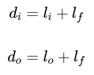
Salut !
Je crois que tu fais référence à ces formules :
Ce contenu est protégé par le droit d'auteur. Toute reproduction à l'extérieur des forums Alloprof est interdite et pourra être considérée comme une violation du droit d'auteur.
Les signes dépendent de la courbure du miroir ! Si tu veux plus de précisions, je t'invite à visiter cette fiche alloprof :
Si tu as d'autres questions, n'hésite pas !
Suggestions en lien avec la question
Suggestion en lien avec la question
Voici ce qui a été trouvé automatiquement sur le site, en espérant que ça t’aide!