Secondaire 5 • 4a
Bonjour,
J'ai de la difficulté à trouver la fonction de la grande roue. Je pense que j'ai fait une erreur dans mes variables.
Merci!
Bonjour,
J'ai de la difficulté à trouver la fonction de la grande roue. Je pense que j'ai fait une erreur dans mes variables.
Merci!
Explication d'Alloprof
Cette explication a été donnée par un membre de l'équipe d'Alloprof.
Salut!
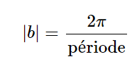
Tu as mal identifié b :
Ce contenu est protégé par le droit d'auteur. Toute reproduction à l'extérieur des forums Alloprof est interdite et pourra être considérée comme une violation du droit d'auteur.
Ainsi, b devrait valoir : 2π/24,5
De plus, arcsin(-2,25) est impossible :
Ce contenu est protégé par le droit d'auteur. Toute reproduction à l'extérieur des forums Alloprof est interdite et pourra être considérée comme une violation du droit d'auteur.
Il est impossible de faire l'opération arcsin d'un nombre inférieur à -1 ou supérieur à 1. Tu as mal identifié la variable k, d'où cette erreur.
Finalement, voici la forme canonique de la fonction sin :
Ce contenu est protégé par le droit d'auteur. Toute reproduction à l'extérieur des forums Alloprof est interdite et pourra être considérée comme une violation du droit d'auteur.
Tu as identifié k comme étant 135. La valeur 135 devrait donc être à droite des parenthèses. Ainsi, lorsque tu trouveras le bon k, n'oublie pas de le placer correctement dans ton équation, sinon celle-ci ne fonctionnera pas ;)
Voici une fiche sur cette notion qui pourrait t’être utile : https://www.alloprof.qc.ca/fr/eleves/bv/mathematiques/le-role-des-parametres-dans-une-fonction-sinus-m1172#
N'hésite pas à nous réécrire si tu as d'autres questions :)
Suggestions en lien avec la question
Suggestion en lien avec la question
Voici ce qui a été trouvé automatiquement sur le site, en espérant que ça t’aide!