Ce contenu est protégé par le droit d'auteur. Toute reproduction à l'extérieur des forums Alloprof est interdite et pourra être considérée comme une violation du droit d'auteur.
Bonjour, je comprend vraiment pas ce numéro. La réponse finale doit être de 1.88cm
Comme tu l'as bien identifié, on cherche la hauteur de l'image (hi), qui correspond à la largeur de la camionnette dans le miroir. On connait la hauteur de la camionnette (ho), la distance de la camionnette du miroir (do) et le rayon de courbure, qui correspond au double de la focale.
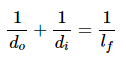
La première étape pour résoudre ce problème est de trouver la distance image-miroir à l'aide de cette formule:
Ce contenu est protégé par le droit d'auteur. Toute reproduction à l'extérieur des forums Alloprof est interdite et pourra être considérée comme une violation du droit d'auteur.
Ensuite, tu peux trouver la valeur de hi à l'aide de la formule du grossissement:
Ce contenu est protégé par le droit d'auteur. Toute reproduction à l'extérieur des forums Alloprof est interdite et pourra être considérée comme une violation du droit d'auteur.
Tu n'as qu'à effectuer le produit croisé avec hi, ho, -di et do pour trouver hi.
Tu as bien fait cette démarche, mais tu as fait une petite erreur de calcul lorsque tu as trouvé la valeur de di. Tu as inversé quelques signes, je te laisse réessayer, mais ta démarche est bonne pour le reste!
Voici une fiche à ce sujet si tu veux en savoir plus :
Explication d'Alloprof
Cette explication a été donnée par un membre de l'équipe d'Alloprof.
Salut MelonJaune8932,
Merci pour ta question!
Comme tu l'as bien identifié, on cherche la hauteur de l'image (hi), qui correspond à la largeur de la camionnette dans le miroir. On connait la hauteur de la camionnette (ho), la distance de la camionnette du miroir (do) et le rayon de courbure, qui correspond au double de la focale.
La première étape pour résoudre ce problème est de trouver la distance image-miroir à l'aide de cette formule:
Ce contenu est protégé par le droit d'auteur. Toute reproduction à l'extérieur des forums Alloprof est interdite et pourra être considérée comme une violation du droit d'auteur.
Ensuite, tu peux trouver la valeur de hi à l'aide de la formule du grossissement:
Ce contenu est protégé par le droit d'auteur. Toute reproduction à l'extérieur des forums Alloprof est interdite et pourra être considérée comme une violation du droit d'auteur.
Tu n'as qu'à effectuer le produit croisé avec hi, ho, -di et do pour trouver hi.
Tu as bien fait cette démarche, mais tu as fait une petite erreur de calcul lorsque tu as trouvé la valeur de di. Tu as inversé quelques signes, je te laisse réessayer, mais ta démarche est bonne pour le reste!
Voici une fiche à ce sujet si tu veux en savoir plus :
J'espère que ça t'aide et n'hésite pas à nous réécrire si tu as d'autres questions!
Anthony B.
Suggestions en lien avec la question
Suggestion en lien avec la question
Voici ce qui a été trouvé automatiquement sur le site, en espérant que ça t’aide!