Ce contenu est protégé par le droit d'auteur. Toute reproduction à l'extérieur des forums Alloprof est interdite et pourra être considérée comme une violation du droit d'auteur.
La réponse finale est de 25 mais je ne comprends pas pourqoui c'est 25.
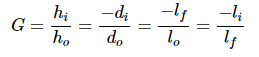
La première étape est de trouver la distance focale de ton miroir, il s'agit du fil connecteur entre le grossissement de 2,5 et de 4.
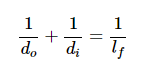
Pour trouver cette valeur, tu as besoin de trouver la valeur de di à l'aide de cette formule:
Ce contenu est protégé par le droit d'auteur. Toute reproduction à l'extérieur des forums Alloprof est interdite et pourra être considérée comme une violation du droit d'auteur.
Tu connais G et do, il ne te reste plus qu'à isoler di. Ensuite, tu peux trouver la focale à l'aide de cette formule:
Ce contenu est protégé par le droit d'auteur. Toute reproduction à l'extérieur des forums Alloprof est interdite et pourra être considérée comme une violation du droit d'auteur.
Une fois cette valeur connue, on peut s'intéresser au grossissement 4x. Pour trouver do lorsque G = 4, il faut encore utiliser la formule ci-dessus. On connait uniquement f dans cette formule, mais il est possible de remplacer di par une valeur de do. Ce que je veux dire, c'est qu'il est possible d'utiliser la valeur du grossissement pour obtenir une valeur de di en fonction de do. On obtient ceci:
$$G=\frac{-d_{i}}{d_{o}}$$
$$-d_{o}*G=d_{i}$$
$$-4d_{o}=d_{i}$$
Ainsi, si tu remplaces cette nouvelle de valeur de di dans la deuxième formule, tu as uniquement un inconnu est c'est do, la valeur recherchée!
Voici une fiche sur la résolution d'exercices de ce genre si tu veux en savoir plus:
Explication d'Alloprof
Cette explication a été donnée par un membre de l'équipe d'Alloprof.
Salut MelonJaune8932,
Merci pour ta question!
La première étape est de trouver la distance focale de ton miroir, il s'agit du fil connecteur entre le grossissement de 2,5 et de 4.
Pour trouver cette valeur, tu as besoin de trouver la valeur de di à l'aide de cette formule:
Ce contenu est protégé par le droit d'auteur. Toute reproduction à l'extérieur des forums Alloprof est interdite et pourra être considérée comme une violation du droit d'auteur.
Tu connais G et do, il ne te reste plus qu'à isoler di. Ensuite, tu peux trouver la focale à l'aide de cette formule:
Ce contenu est protégé par le droit d'auteur. Toute reproduction à l'extérieur des forums Alloprof est interdite et pourra être considérée comme une violation du droit d'auteur.
Une fois cette valeur connue, on peut s'intéresser au grossissement 4x. Pour trouver do lorsque G = 4, il faut encore utiliser la formule ci-dessus. On connait uniquement f dans cette formule, mais il est possible de remplacer di par une valeur de do. Ce que je veux dire, c'est qu'il est possible d'utiliser la valeur du grossissement pour obtenir une valeur de di en fonction de do. On obtient ceci:
$$G=\frac{-d_{i}}{d_{o}}$$
$$-d_{o}*G=d_{i}$$
$$-4d_{o}=d_{i}$$
Ainsi, si tu remplaces cette nouvelle de valeur de di dans la deuxième formule, tu as uniquement un inconnu est c'est do, la valeur recherchée!
Voici une fiche sur la résolution d'exercices de ce genre si tu veux en savoir plus:
J'espère que ça t'aide et n'hésite pas à nous réécrire si tu as d'autres questions!
Anthony B.
Suggestions en lien avec la question
Suggestion en lien avec la question
Voici ce qui a été trouvé automatiquement sur le site, en espérant que ça t’aide!