Secondaire 5 • 4a
bonjour la question # 10 est ce que ce que j'ai faite est bone ?
5cm =-10cm
------ -------
50cm x que L'on cherche ?
bonjour la question # 10 est ce que ce que j'ai faite est bone ?
5cm =-10cm
------ -------
50cm x que L'on cherche ?
Explication d'Alloprof
Cette explication a été donnée par un membre de l'équipe d'Alloprof.
Salut GrenatTurquoise4148,
Merci pour ta question!
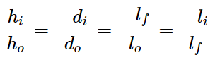
Pas tout à fait si on se fie à cette formule:
Ce contenu est protégé par le droit d'auteur. Toute reproduction à l'extérieur des forums Alloprof est interdite et pourra être considérée comme une violation du droit d'auteur.
On devrait obtenir ceci:
$$\frac{h_{1}}{h_{o}}=\frac{-l_{f}}{l_{o}}$$
$$\frac{50 \ cm}{5 \ cm}=\frac{-10 \ cm}{l_{o}}$$
Si tu isoles lo, tu obtiens -1 cm, l'objet est à 1cm à la droite de la focale, et donc à 9 cm du miroir. Voici une fiche à ce sujet si tu veux en savoir davantage:
J'espère que ça t'aide et n'hésite pas à nous réécrire si tu as d'autres questions!
Anthony B.
Suggestions en lien avec la question
Suggestion en lien avec la question
Voici ce qui a été trouvé automatiquement sur le site, en espérant que ça t’aide!