Skip to content

Zone d’entraide

Question de l’élève

Secondaire 4 • 4a

Bonjour, j'arrive pas à compléter ce numéro. J'arrive pas a comprendre comment m'y prendre pour trouvé la résolution. Quelqu'un pourrait svp m'aider?

IMG_20220213_212722.jpg


Mathématiques
avatar
avatar

{t c="richEditor.description.title"} {t c="richEditor.description.paragraphMenu"} {t c="richEditor.description.inlineMenu"} {t c="richEditor.description.embed"}

Explications (2)

  • Explication d'Alloprof

    Explication d'Alloprof

    Cette explication a été donnée par un membre de l'équipe d'Alloprof.

    Options
    Équipe Alloprof • 4a

    Salut DragonHumoristique1747,

    Merci pour ta question!

    Pour trouver la réponse à ce problème, il faut le diviser en deux grandes étapes. La première est de trouver les coordonnées des sommets du quadrilatère EFGH et la deuxième est de trouver la distance entre les sommets afin d'obtenir le périmètre de EFGH.

    Pour trouver ces coordonnées, tu dois utiliser les concepts de point milieu et de point de partage. Ces concepts sont expliqués dans la fiche ci-dessous:

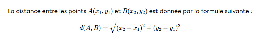
    Une fois les sommets trouvés, tu peux utiliser la formule de la distance entre deux points afin de trouver la longueur des segments. Voici la formule:

    image.png

    Tu devrais avoir tout ce qu'il te faut pour résoudre ce problème! Bon travail!

    Anthony B.

  • Options
    4a

    Bonjour DragonHumoristique

    Tu dois d'abord déterminer les segments AE ED DF FC CG GB BH et HA avec les informations qui te sont données dans le texte

    exemple AE = (1/3) AD = (1/3) racine carrée de 18

    d'après les points donnés sur le diagramme -- tu sais que ADCB est un carré -- et le théorème de Pythagore

    Ensuite tu procèdes de la même manière pour obtenir les valeurs de EF FG GB et BE.

    Ça fait beaucoup de calculs, tu es capable

Poser une question