Secondaire 5 • 4a
Bonjour
je ne comprends pas comment trouver le déplacement effectué par le mobile durant les 10 s de son mouvement...
j'ai fait l'aire du triangle pour trouver le déplacement: A= b X h / 2 mais ça me donne 2,5 m mais la réponse du corrigé est -4,5 m
Merci,

Explication d'Alloprof
Cette explication a été donnée par un membre de l'équipe d'Alloprof.
Salut!
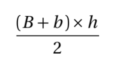
Tu es sur la bonne voie! Cependant, il ne s'agit pas d'un triangle, mais d'un trapèze!
Ce contenu est protégé par le droit d'auteur. Toute reproduction à l'extérieur des forums Alloprof est interdite et pourra être considérée comme une violation du droit d'auteur.
Tu obtiendras la bonne réponse en corrigeant cette petite erreur ;)
PS voici la formule d'aire d'un trapèze :
Ce contenu est protégé par le droit d'auteur. Toute reproduction à l'extérieur des forums Alloprof est interdite et pourra être considérée comme une violation du droit d'auteur.
N'hésite pas à nous réécrire si tu as encore besoin d'aide:)
Bonne journée!
Suggestions en lien avec la question
Suggestion en lien avec la question
Voici ce qui a été trouvé automatiquement sur le site, en espérant que ça t’aide!