Secondaire 5 • 4a
Dans un problème mathématique on me demande de changer 18.2g en (mol) avec les
indice ci dessous je n’y arrive pas pouvez vous m’aider svp
n1= 18.2g
T1=293.15K
V1=16L
P1=99.3 KPA
T2=323.15
v2=5L
N2=12.8g
merci
Explication d'Alloprof
Cette explication a été donnée par un membre de l'équipe d'Alloprof.
Salut!
Je pense qu'on te demande plutôt de trouver la pression finale du gaz. On te donne les masses initiale et finale du gaz. Selon la nature du gaz, tu peux trouver sa masse molaire dans le tableau périodique, et déterminer le nombre de moles grâce à la formule :
Ce contenu est protégé par le droit d'auteur. Toute reproduction à l'extérieur des forums Alloprof est interdite et pourra être considérée comme une violation du droit d'auteur.
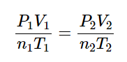
Puis, tu peux utiliser la formule de la loi générale des gaz :
Ce contenu est protégé par le droit d'auteur. Toute reproduction à l'extérieur des forums Alloprof est interdite et pourra être considérée comme une violation du droit d'auteur.
et y insérer toutes les données connues. Il ne te restera plus qu'à isoler P2.
Voici des fiches sur ces notions :
Si tu as d'autres questions, on est là! :)
Suggestions en lien avec la question
Suggestion en lien avec la question
Voici ce qui a été trouvé automatiquement sur le site, en espérant que ça t’aide!